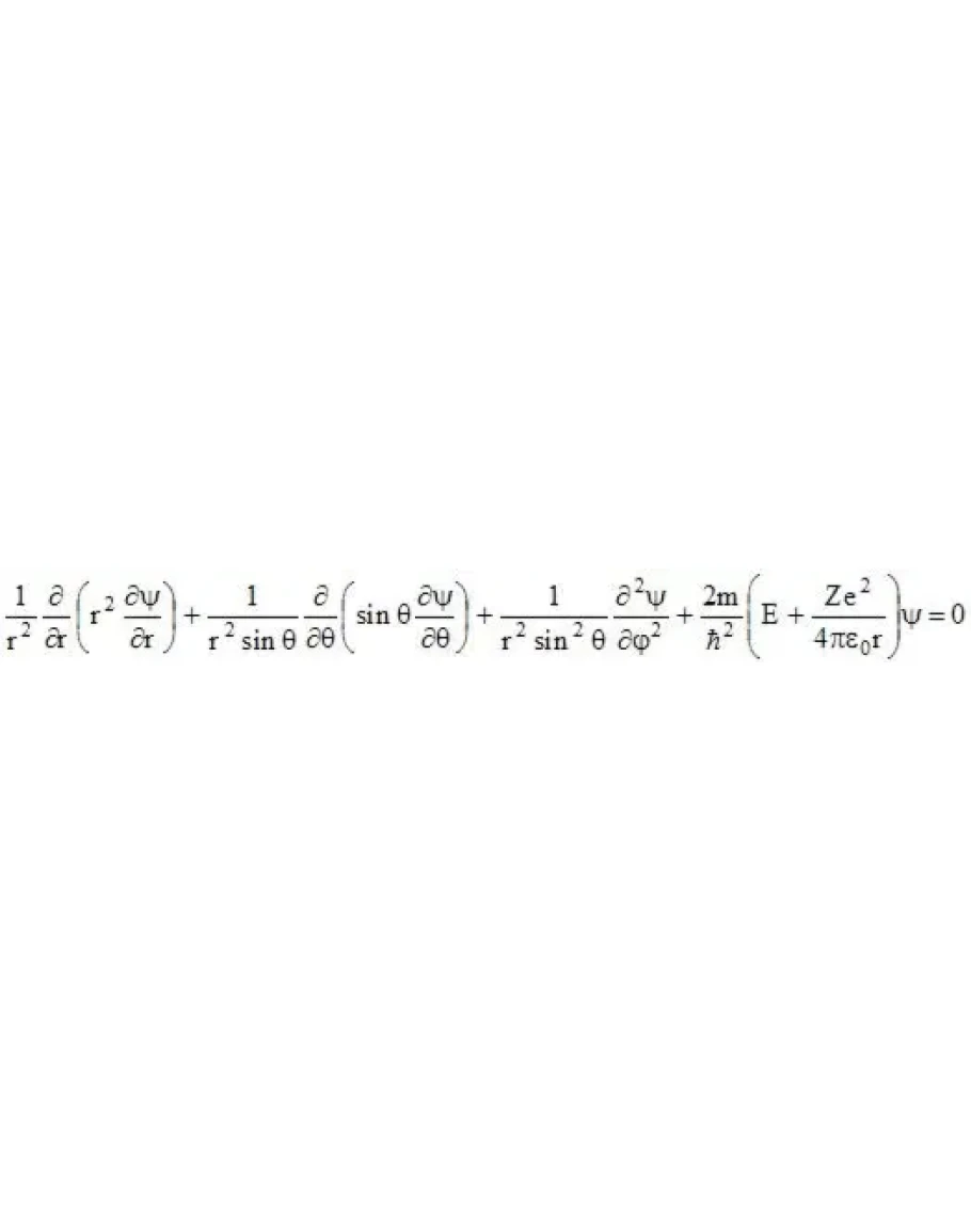
37. Уравнение Шредингера для стационарных состояний электрона, нахо¬дящегося в водородоподобном атоме, в сферической системе координат имеет вид
Покажите, что это уравнение можно разделить на три уравнения, каждое из которых зависит только от одной из переменных: r, θ и φ.
Покажите, что это уравнение можно разделить на три уравнения, каждое из которых зависит только от одной из переменных: r, θ и φ.




