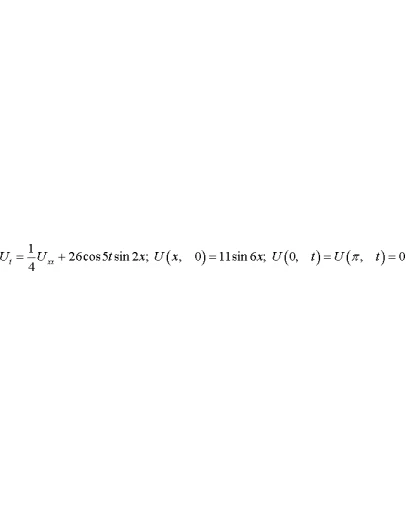
• Задача 6.11 из раздела 11 УМФ автор Кузнецов Л.А. 2005
Решение задачи 6.11 (задача 6. Решить смешанную задачу (стр. 217). Вариант 11) из решебника к сборнику задач по высшей математике раздела XI: Уравнения Математической Физики (УМФ).
Задачник: Кузнецов Л.А., помогали: Пикулин В.П., Леферова А.Ф, Калинин А.С. и др.
Сборник заданий по высшей математике (типовые расчеты). — Санкт-Петербург: Издательство «Лань», 2005

Написать отзыв

Примечание: HTML разметка не поддерживается! Используйте обычный текст.
   Плохо           Хорошо

Задача 6.11 из раздела 11 УМФ автор Кузнецов Л.А. 2005

  • Продавец: Chudesenko
  • Модель: 2113005
  • Наличие: Есть в наличии
  • 45р.

Рекомендуемые