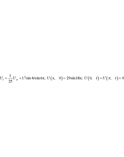
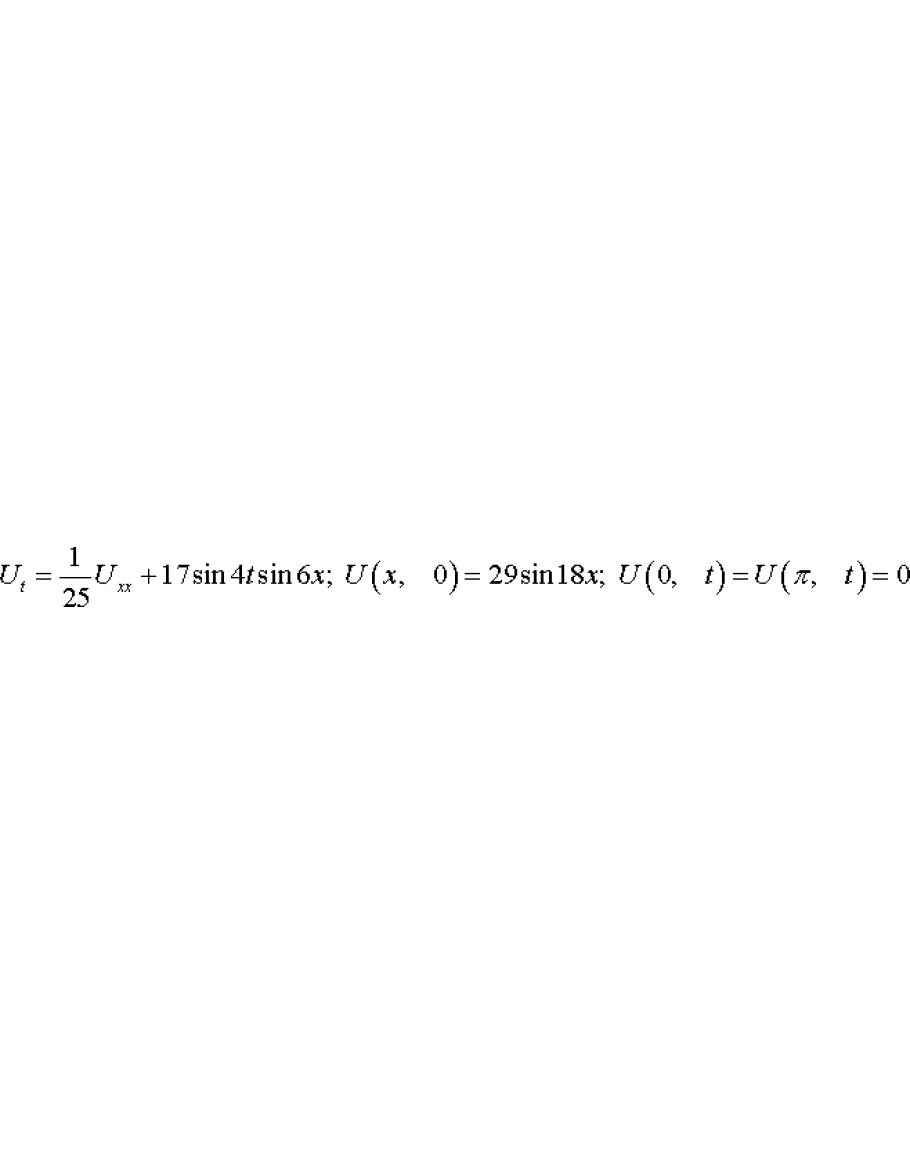
Решение задачи 6.29 (задача 6. Решить смешанную задачу (стр. 217). Вариант 29) из решебника к сборнику задач по высшей математике раздела XI: Уравнения Математической Физики (УМФ).
Задачник: Кузнецов Л.А., помогали: Пикулин В.П., Леферова А.Ф, Калинин А.С. и др.
Сборник заданий по высшей математике (типовые расчеты). — Санкт-Петербург: Издательство «Лань», 2005
Задачник: Кузнецов Л.А., помогали: Пикулин В.П., Леферова А.Ф, Калинин А.С. и др.
Сборник заданий по высшей математике (типовые расчеты). — Санкт-Петербург: Издательство «Лань», 2005
Задача 6.29 из раздела 11 УМФ автор Кузнецов Л.А. 2005
- Продавец: Chudesenko
- Модель: 2113027
- Наличие: Есть в наличии
-
45р.




