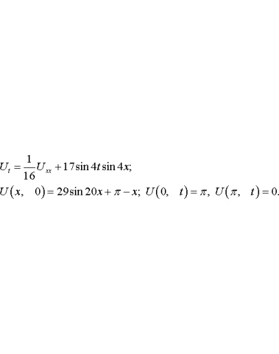
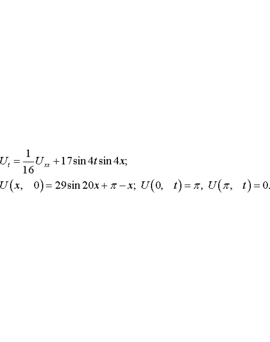
Решение задачи 7.29 (задача 7. Решить смешанную задачу (стр. 219). Вариант 29) из решебника по высшей математике из раздела XI: Уравнения Математической Физики (УМФ).
Задачник: Кузнецов Л.А., помогали: Пикулин В.П., Леферова А.Ф, Калинин А.С. и др.
Сборник заданий по высшей математике (типовые расчеты). — Санкт-Петербург: Издательство «Лань», 2005
Задачник: Кузнецов Л.А., помогали: Пикулин В.П., Леферова А.Ф, Калинин А.С. и др.
Сборник заданий по высшей математике (типовые расчеты). — Санкт-Петербург: Издательство «Лань», 2005
Задача 7.29 из раздела 11 УМФ автор Кузнецов Л.А. 2005
- Продавец: Chudesenko
- Модель: 2113060
- Наличие: Есть в наличии
-
53р.




