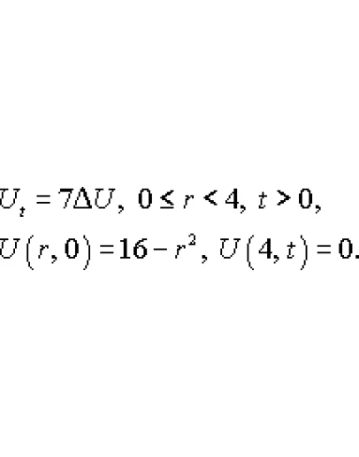
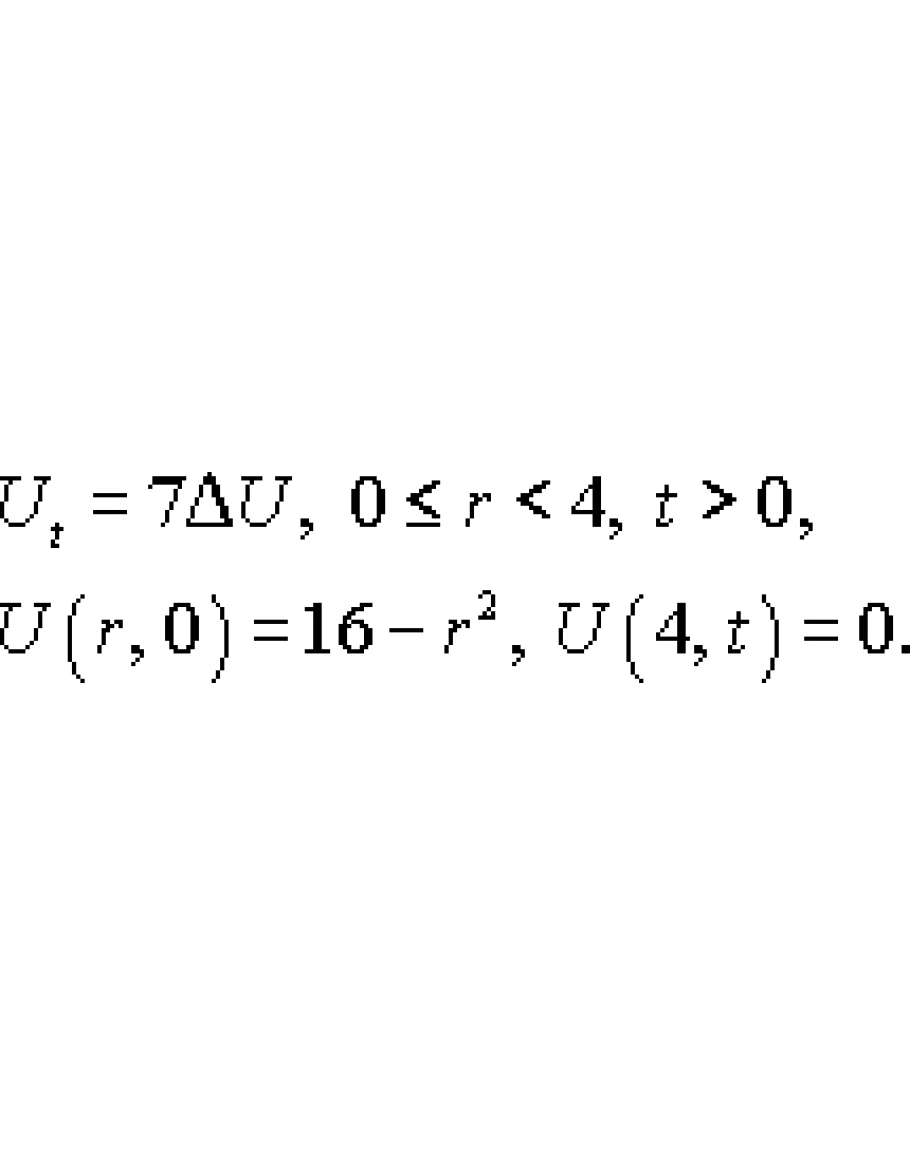
Решение задачи 13.31 (задача 13 вариант 31) по высшей математике из раздела: Уравнения Математической Физики (УМФ).
Задачник: Чудесенко В.Ф. Сборник заданий по специальным курсам высшей математики (типовые расчеты). — Москва: Высшая школа. Решение подходит для изданий: 1983 (1994, 2005-2009) гг..
Задачник: Чудесенко В.Ф. Сборник заданий по специальным курсам высшей математики (типовые расчеты). — Москва: Высшая школа. Решение подходит для изданий: 1983 (1994, 2005-2009) гг..
Задание 13.31 раздела 3 УМФ из решебника Чудесенко В.Ф.
- Продавец: Chudesenko
- Модель: 2286110
- Наличие: Есть в наличии
-
45р.




