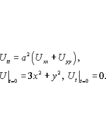
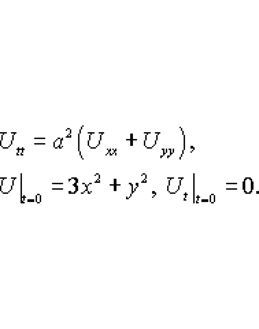
• Задание 14.31 раздела 3 УМФ из решебника Чудесенко В.Ф.
Решение задачи 14.31 (задача 14 вариант 31) по высшей математике из раздела: Уравнения Математической Физики (УМФ).
Задачник: Чудесенко В.Ф. Сборник заданий по специальным курсам высшей математики (типовые расчеты). — Москва: Высшая школа. Решение подходит для изданий: 1983 (1994, 2005-2009) гг..

Написать отзыв

Примечание: HTML разметка не поддерживается! Используйте обычный текст.
   Плохо           Хорошо

Задание 14.31 раздела 3 УМФ из решебника Чудесенко В.Ф.

  • Продавец: Chudesenko
  • Модель: 2286111
  • Наличие: Есть в наличии
  • 45р.

Рекомендуемые