1. Найти уравнения касательной плоскости и нормали к заданной поверхности S в точке M0(x0, y0, z0)
1.1 S: x2 + y2 + z2 + 6z – 4x + 8 = 0, M0(2, 1, – 1)
2. Найти вторые частные производные указанных функций. Убедиться в том, что z”xy= z”yx
2.1 z = ex2-y2
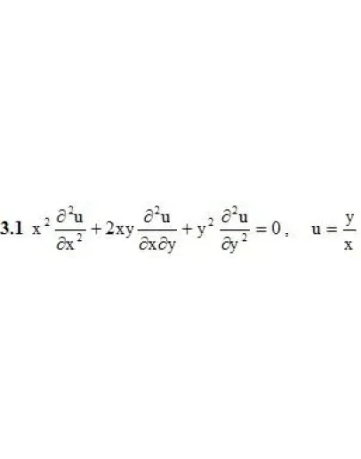
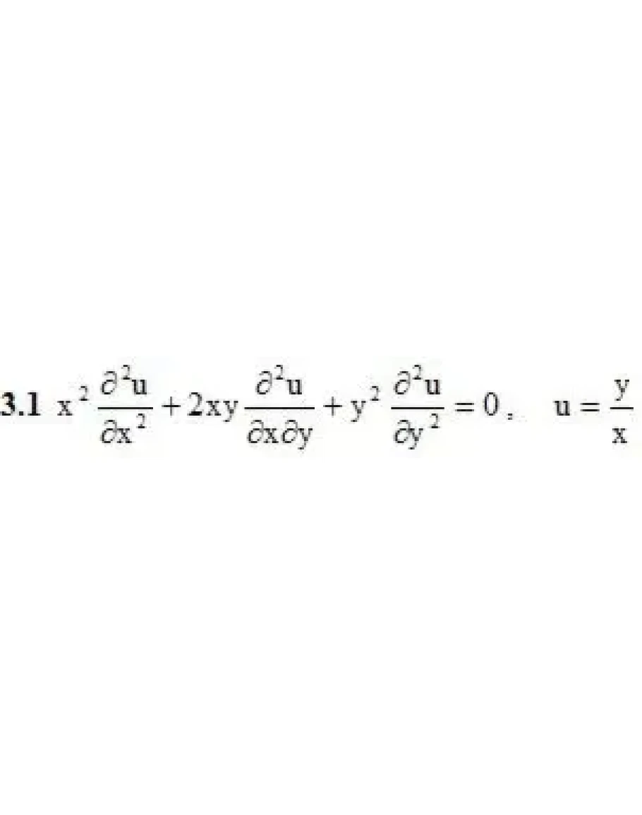
3. Проверить, удовлетворяет ли указанному уравнению данная функция u.
4. Исследовать на экстремум следующие функции.
4.1 z = y√x – 2y2 – x +14y
5. Найти наибольшее и наименьшее значения функции z=z(x, y) в области D, ограниченной заданными линиями.
5.1 z = 3x + y – xy, D: y = x, y = 4, x = 0
1.1 S: x2 + y2 + z2 + 6z – 4x + 8 = 0, M0(2, 1, – 1)
2. Найти вторые частные производные указанных функций. Убедиться в том, что z”xy= z”yx
2.1 z = ex2-y2
3. Проверить, удовлетворяет ли указанному уравнению данная функция u.
4. Исследовать на экстремум следующие функции.
4.1 z = y√x – 2y2 – x +14y
5. Найти наибольшее и наименьшее значения функции z=z(x, y) в области D, ограниченной заданными линиями.
5.1 z = 3x + y – xy, D: y = x, y = 4, x = 0




