1. Найти уравнения касательной плоскости и нормали к заданной поверхности S в точке M0(x0, y0, z0)
1.15 S: 4y2 – z2 + 4xy – xz + 3z = 9, M0(1, –2, 1)
2. Найти вторые частные производные указанных функций. Убедиться в том, что z”xy= z”yx
2.15 z = sin√x3y
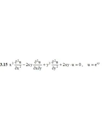
3. Проверить, удовлетворяет ли указанному уравнению данная функция u.
4. Исследовать на экстремум следующие функции.
4.15 z = 2xy – 2x2 – 4y2
5. Найти наибольшее и наименьшее значения функции z=z(x, y) в области D, ограниченной заданными линиями.
5.15 z = x2 – 2xy – y2 + 4x + 1, D: x = –3, y = 0, x + y + 1=0
1.15 S: 4y2 – z2 + 4xy – xz + 3z = 9, M0(1, –2, 1)
2. Найти вторые частные производные указанных функций. Убедиться в том, что z”xy= z”yx
2.15 z = sin√x3y
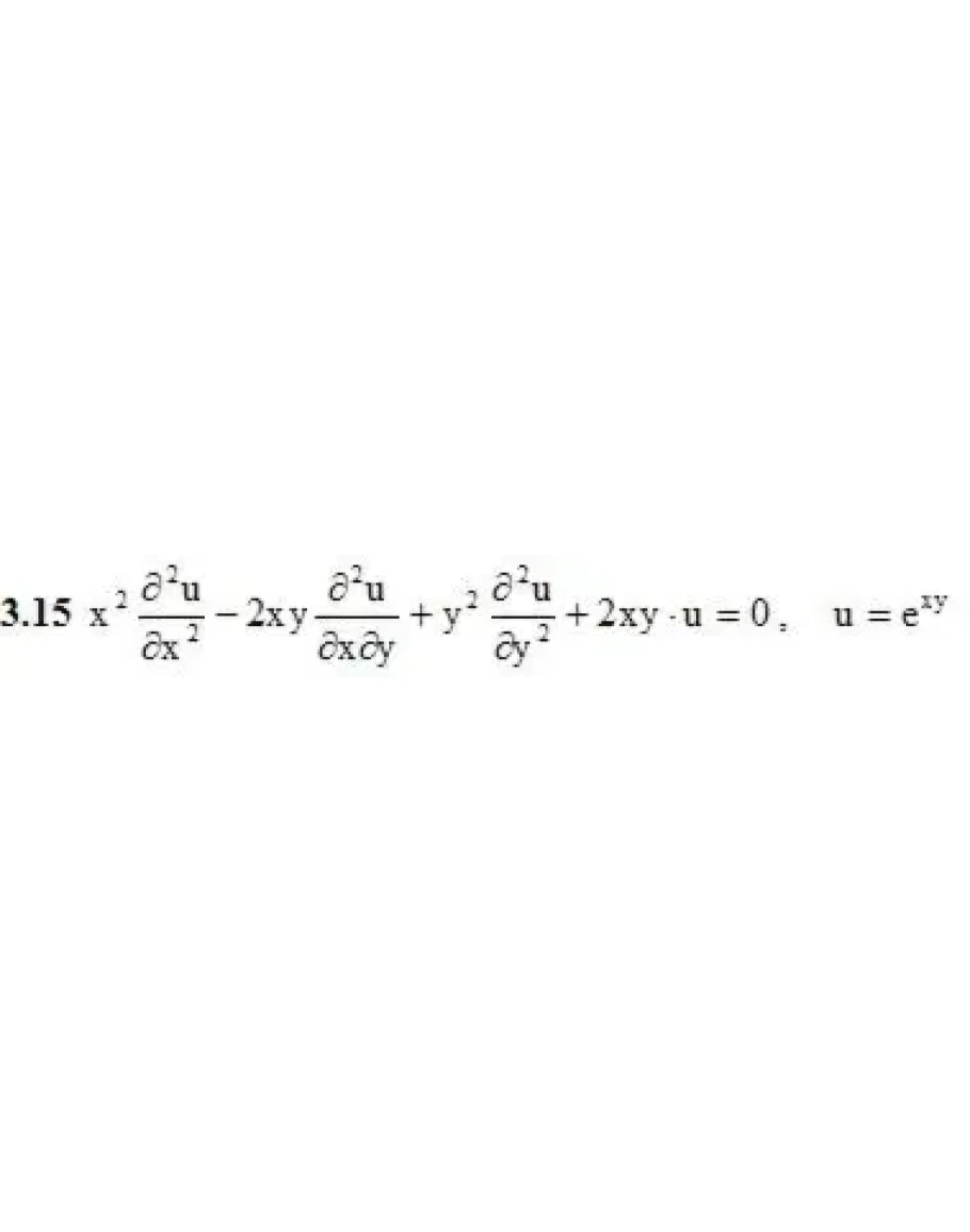
3. Проверить, удовлетворяет ли указанному уравнению данная функция u.
4. Исследовать на экстремум следующие функции.
4.15 z = 2xy – 2x2 – 4y2
5. Найти наибольшее и наименьшее значения функции z=z(x, y) в области D, ограниченной заданными линиями.
5.15 z = x2 – 2xy – y2 + 4x + 1, D: x = –3, y = 0, x + y + 1=0




