1. Найти уравнения касательной плоскости и нормали к заданной поверхности S в точке M0(x0, y0, z0)
1.20 S: x2 – y2 – z2 + xz + 4x = –5, M0(–2, 1, 0)
2. Найти вторые частные производные указанных функций. Убедиться в том, что z”xy= z”yx
2.20 z = ln(4x2 – 5y3)
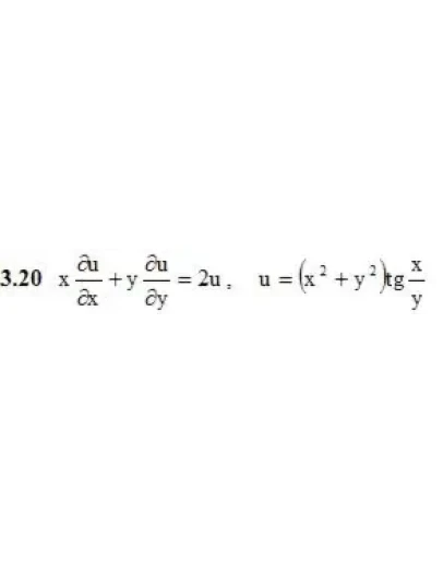
3. Проверить, удовлетворяет ли указанному уравнению данная функция u.
4. Исследовать на экстремум следующие функции.
4.20 z = 2xy – 3x2 – 2y2 + 10
5. Найти наибольшее и наименьшее значения функции z=z(x, y) в области D, ограниченной заданными линиями.
5.20 z = x2 + xy – 2, D: y = 4x2 – 4, y = 0
1.20 S: x2 – y2 – z2 + xz + 4x = –5, M0(–2, 1, 0)
2. Найти вторые частные производные указанных функций. Убедиться в том, что z”xy= z”yx
2.20 z = ln(4x2 – 5y3)
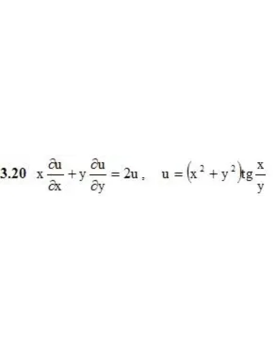
3. Проверить, удовлетворяет ли указанному уравнению данная функция u.
4. Исследовать на экстремум следующие функции.
4.20 z = 2xy – 3x2 – 2y2 + 10
5. Найти наибольшее и наименьшее значения функции z=z(x, y) в области D, ограниченной заданными линиями.
5.20 z = x2 + xy – 2, D: y = 4x2 – 4, y = 0




