1. Найти уравнения касательной плоскости и нормали к заданной поверхности S в точке M0(x0, y0, z0)
1.7 S: x2 + z2 – 5yz + 3y = 46, M0(1, 2, – 3)
2. Найти вторые частные производные указанных функций. Убедиться в том, что z”xy= z”yx
2.7 z = arcsin(x – y)
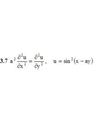
3. Проверить, удовлетворяет ли указанному уравнению данная функция u.
4. Исследовать на экстремум следующие функции.
4.7 z = 3x3 + 3y3 – 9xy + 10
5. Найти наибольшее и наименьшее значения функции z=z(x, y) в области D, ограниченной заданными линиями.
5.7 z = 2x3 – xy2 + y2, D: x = 0, x = 1, y = 0, y = 6
1.7 S: x2 + z2 – 5yz + 3y = 46, M0(1, 2, – 3)
2. Найти вторые частные производные указанных функций. Убедиться в том, что z”xy= z”yx
2.7 z = arcsin(x – y)
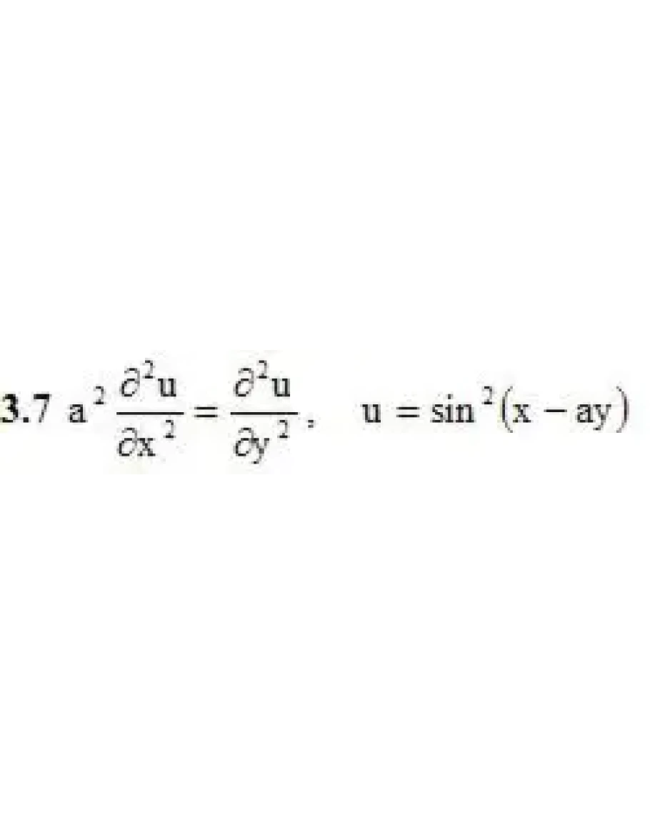
3. Проверить, удовлетворяет ли указанному уравнению данная функция u.
4. Исследовать на экстремум следующие функции.
4.7 z = 3x3 + 3y3 – 9xy + 10
5. Найти наибольшее и наименьшее значения функции z=z(x, y) в области D, ограниченной заданными линиями.
5.7 z = 2x3 – xy2 + y2, D: x = 0, x = 1, y = 0, y = 6




