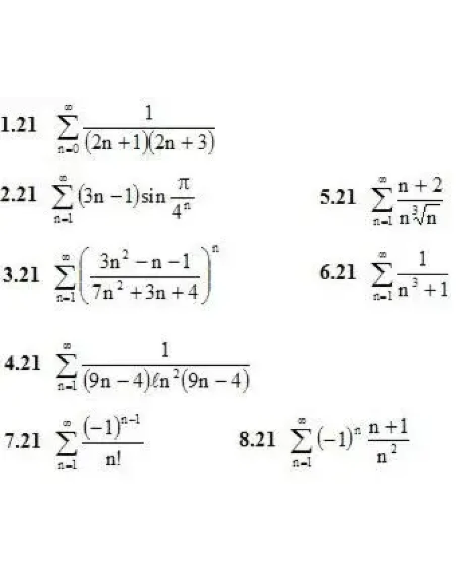
• ИДЗ 12.1 Вариант 21. Решения Рябушко А.П.
1. Доказать сходимость ряда и найти его сумму.

2. Исследовать на сходимость указанные ряды с положительными членами.(2-6)

Исследовать на сходимость и абсолютную сходимость знакочередующиеся ряды. (7-8)

Написать отзыв

Примечание: HTML разметка не поддерживается! Используйте обычный текст.
   Плохо           Хорошо

ИДЗ 12.1 Вариант 21. Решения Рябушко А.П.

  • Продавец: Massimo86
  • Модель: 1775564
  • Наличие: Есть в наличии
  • 120р.

Рекомендуемые