Warning: unlink(/var/www/storage/cache/cache.catalog.language.1774589854): No such file or directory in /var/www/opencart/system/library/cache/file.php on line 68 ИДЗ 12.1 Вариант 28. Решения Рябушко А.П.
  • ИДЗ 12.1 Вариант 28. Решения Рябушко А.П.
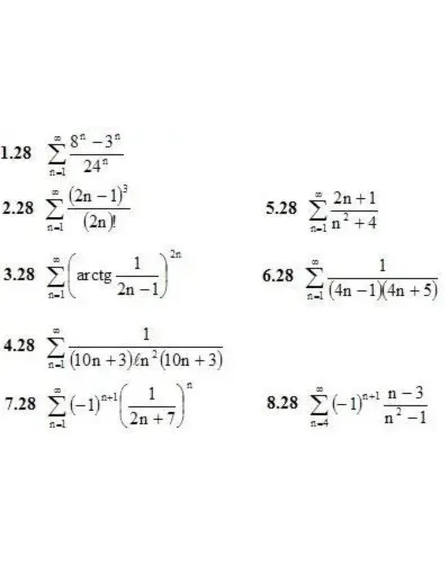
1. Доказать сходимость ряда и найти его сумму.

2. Исследовать на сходимость указанные ряды с положительными членами.(2-6)

Исследовать на сходимость и абсолютную сходимость знакочередующиеся ряды. (7-8)

Написать отзыв

Примечание: HTML разметка не поддерживается! Используйте обычный текст.
   Плохо           Хорошо

ИДЗ 12.1 Вариант 28. Решения Рябушко А.П.

  • Продавец: Massimo86
  • Модель: 1775573
  • Наличие: Есть в наличии
  • 120р.

Рекомендуемые