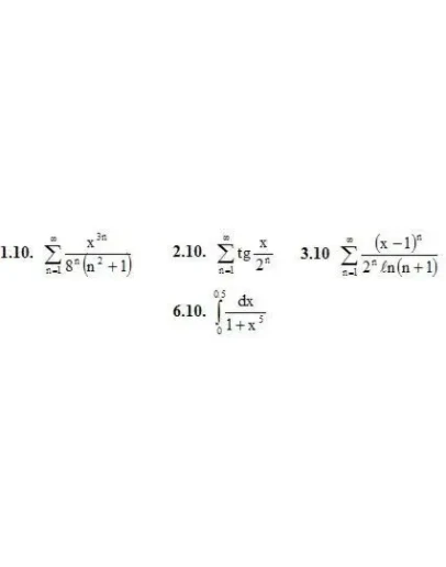
1. Найти область сходимости ряда. (1-3)
4. Разложить в ряд Маклорена функцию f(x). Указать область сходимости полученного ряда к этой функции.
4.10. f(x) = 1/√ex
5. Вычислить указанную величину приближенно с заданной степенью точности α, воспользовавшись разложением в степенной ряд соответствующим образом подобранной функции
5.10. e2, α=0,001
6. Используя разложение подынтегральной функции в степенной ряд, вычислить указанный определенный интеграл с точностью до 0,001.
7. Найти разложение в степенной ряд по степеням x решения дифференциального уравнения (записать три первых, отличных от нуля, члена этого разложения)
7.10. y′ = x2 + y2, y(0) = 1
8. Методом последовательного дифференцирования найти первые k членов разложения в степенной ряд решения дифференциального уравнения при указанных начальных условиях.
8.10. y′ = 2x + cosy, y(0) = 0, k = 5
4. Разложить в ряд Маклорена функцию f(x). Указать область сходимости полученного ряда к этой функции.
4.10. f(x) = 1/√ex
5. Вычислить указанную величину приближенно с заданной степенью точности α, воспользовавшись разложением в степенной ряд соответствующим образом подобранной функции
5.10. e2, α=0,001
6. Используя разложение подынтегральной функции в степенной ряд, вычислить указанный определенный интеграл с точностью до 0,001.
7. Найти разложение в степенной ряд по степеням x решения дифференциального уравнения (записать три первых, отличных от нуля, члена этого разложения)
7.10. y′ = x2 + y2, y(0) = 1
8. Методом последовательного дифференцирования найти первые k членов разложения в степенной ряд решения дифференциального уравнения при указанных начальных условиях.
8.10. y′ = 2x + cosy, y(0) = 0, k = 5




