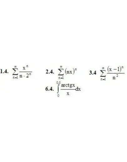
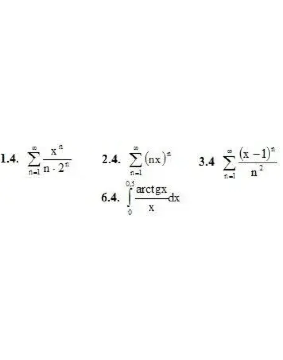
1. Найти область сходимости ряда. (1-3)
4. Разложить в ряд Маклорена функцию f(x). Указать область сходимости полученного ряда к этой функции.
4.4. f(x) = x2/(1+x)
5. Вычислить указанную величину приближенно с заданной степенью точности α, воспользовавшись разложением в степенной ряд соответствующим образом подобранной функции
5.4. √1,3, α=0,001
6. Используя разложение подынтегральной функции в степенной ряд, вычислить указанный определенный интеграл с точностью до 0,001.
7. Найти разложение в степенной ряд по степеням x решения дифференциального уравнения (записать три первых, отличных от нуля, члена этого разложения)
7.4. y′ = x3 + y2, y(0) = 1/2
8. Методом последовательного дифференцирования найти первые k членов разложения в степенной ряд решения дифференциального уравнения при указанных начальных условиях.
8.4. y′ = x + 1/y, y(0) = 1, k = 5
4. Разложить в ряд Маклорена функцию f(x). Указать область сходимости полученного ряда к этой функции.
4.4. f(x) = x2/(1+x)
5. Вычислить указанную величину приближенно с заданной степенью точности α, воспользовавшись разложением в степенной ряд соответствующим образом подобранной функции
5.4. √1,3, α=0,001
6. Используя разложение подынтегральной функции в степенной ряд, вычислить указанный определенный интеграл с точностью до 0,001.
7. Найти разложение в степенной ряд по степеням x решения дифференциального уравнения (записать три первых, отличных от нуля, члена этого разложения)
7.4. y′ = x3 + y2, y(0) = 1/2
8. Методом последовательного дифференцирования найти первые k членов разложения в степенной ряд решения дифференциального уравнения при указанных начальных условиях.
8.4. y′ = x + 1/y, y(0) = 1, k = 5




