1. Разложить в ряд Фурье периодическую (с периодом ω=2π) функцию f(x) заданную на отрезке [-π; π]
2. Разложить в ряд Фурье функцию f(x), заданную в интервале (0; π) продолжив (доопределив) ее четным и нечетным образом. Построить графики для каждого продолжения.
2.21. f(x) = e−3x
3. Разложить в ряд Фурье в указанном интервале периодическую функцию f(x) с периодом w=2l
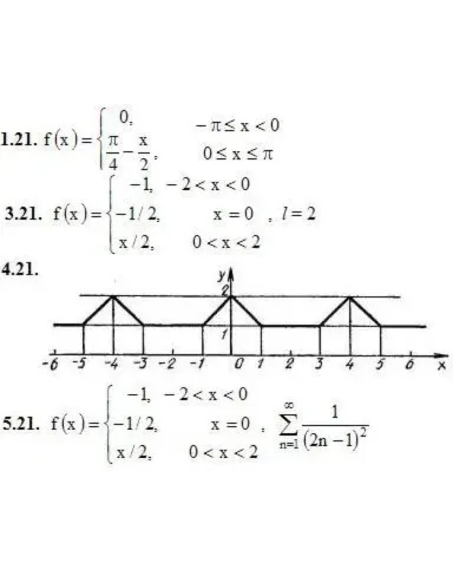
4. Разложить в ряд Фурье функцию, заданную графически.
5. Воспользовавшись разложением функции f(x) в ряд Фурье в указанном интервале, найти сумму данного числового ряда.
2. Разложить в ряд Фурье функцию f(x), заданную в интервале (0; π) продолжив (доопределив) ее четным и нечетным образом. Построить графики для каждого продолжения.
2.21. f(x) = e−3x
3. Разложить в ряд Фурье в указанном интервале периодическую функцию f(x) с периодом w=2l
4. Разложить в ряд Фурье функцию, заданную графически.
5. Воспользовавшись разложением функции f(x) в ряд Фурье в указанном интервале, найти сумму данного числового ряда.




