1. Представить двойной интеграл в виде повторного интеграла с внешним интегрированием по х и внешним интегрированием по y, если область D задана указанными линиями.
1.1. D: y = √4 − x2, y = √3x, x ≥ 0
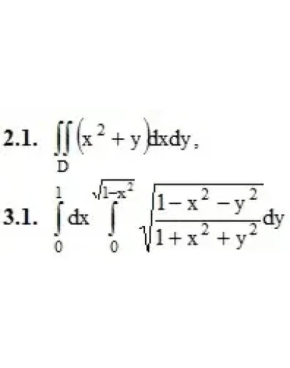
2. Вычислить двойной интеграл по области D, ограниченной указанными линиями.
D: y = x2, x = y2
3. Вычислить двойной интеграл, используя полярные координаты.
4. Вычислить площадь плоской области D, ограниченной заданными линями.
4.1. D: y2 = 4x, x + y = 3, y ≥ 0
5. С помощью двойных интегралов вычислить в полярных координатах площадь плоской фигуры, ограниченной указанными линиями.
5.1. (x2 + y2)2 = a2 (4x2 + y2)
6. Вычислить объем тела, ограниченного заданными поверхностями.
6.1. z = x2 + y2, x + y = 1, x ≥ 0, y ≥ 0, z ≥ 0
1.1. D: y = √4 − x2, y = √3x, x ≥ 0
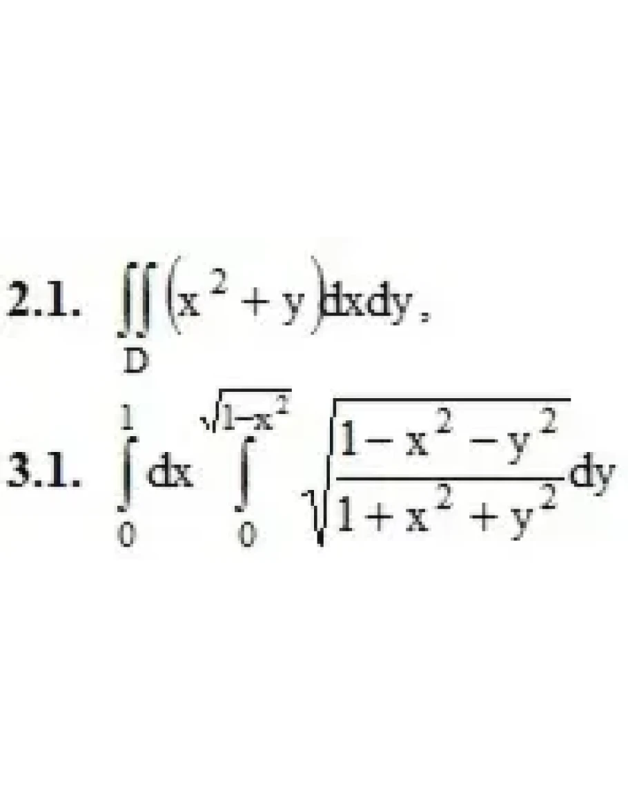
2. Вычислить двойной интеграл по области D, ограниченной указанными линиями.
D: y = x2, x = y2
3. Вычислить двойной интеграл, используя полярные координаты.
4. Вычислить площадь плоской области D, ограниченной заданными линями.
4.1. D: y2 = 4x, x + y = 3, y ≥ 0
5. С помощью двойных интегралов вычислить в полярных координатах площадь плоской фигуры, ограниченной указанными линиями.
5.1. (x2 + y2)2 = a2 (4x2 + y2)
6. Вычислить объем тела, ограниченного заданными поверхностями.
6.1. z = x2 + y2, x + y = 1, x ≥ 0, y ≥ 0, z ≥ 0




