1. Представить двойной интеграл в виде повторного интеграла с внешним интегрированием по х и внешним интегрированием по y, если область D задана указанными линиями.
1.12. D: x = √2 − y2, x = y2, y ≥ 0
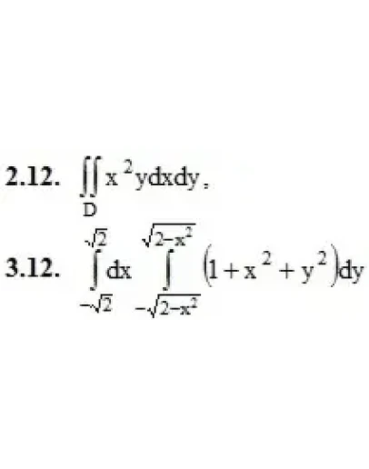
2. Вычислить двойной интеграл по области D, ограниченной указанными линиями.
D: y = 2x3, y = 0, x = 1
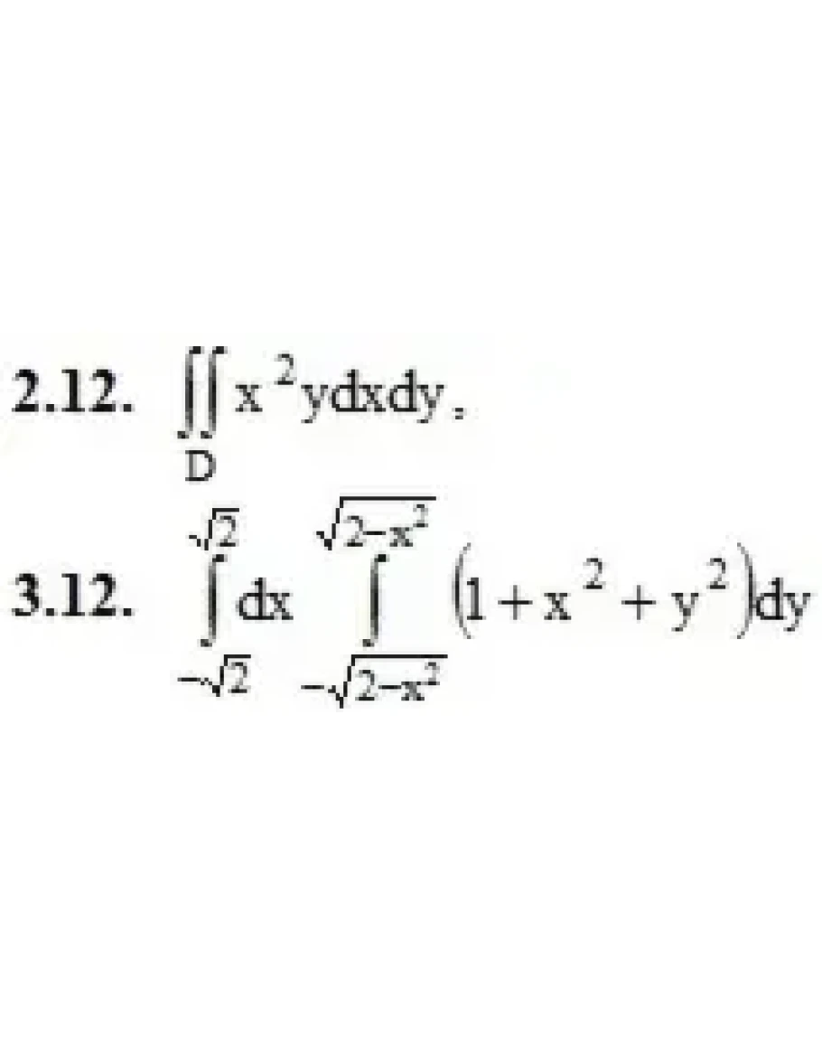
3. Вычислить двойной интеграл, используя полярные координаты.
4. Вычислить площадь плоской области D, ограниченной заданными линями.
4.12. D: y = x2, y = –x
5. С помощью двойных интегралов вычислить в полярных координатах площадь плоской фигуры, ограниченной указанными линиями.
5.12. (x2 + y2)2 = 2a2xy
6. Вычислить объем тела, ограниченного заданными поверхностями.
6.12. z = 10 + x2 + 2y2, y = x, x = 1, y ≥ 0, z ≥ 0
1.12. D: x = √2 − y2, x = y2, y ≥ 0
2. Вычислить двойной интеграл по области D, ограниченной указанными линиями.
D: y = 2x3, y = 0, x = 1
3. Вычислить двойной интеграл, используя полярные координаты.
4. Вычислить площадь плоской области D, ограниченной заданными линями.
4.12. D: y = x2, y = –x
5. С помощью двойных интегралов вычислить в полярных координатах площадь плоской фигуры, ограниченной указанными линиями.
5.12. (x2 + y2)2 = 2a2xy
6. Вычислить объем тела, ограниченного заданными поверхностями.
6.12. z = 10 + x2 + 2y2, y = x, x = 1, y ≥ 0, z ≥ 0




