1. Представить двойной интеграл в виде повторного интеграла с внешним интегрированием по х и внешним интегрированием по y, если область D задана указанными линиями.
1.18. D: y = √4 − x2, x ≥ 0, x = 1, y = 0.
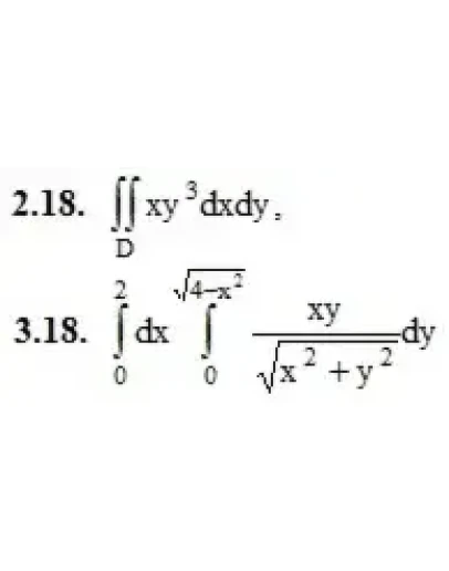
2. Вычислить двойной интеграл по области D, ограниченной указанными линиями.
D: y2 = 1 – x, x ≥ 0
3. Вычислить двойной интеграл, используя полярные координаты.
4. Вычислить площадь плоской области D, ограниченной заданными линями.
4.18. D: y = –2x2 + 2, y ≥ – 6.
5. С помощью двойных интегралов вычислить в полярных координатах площадь плоской фигуры, ограниченной указанными линиями.
5.18. (x2 + y2)3 = a2x4
6. Вычислить объем тела, ограниченного заданными поверхностями.
6.18. x2 = 1 – y, x + y + z = 3, y ≥ 0, z ≥ 0
1.18. D: y = √4 − x2, x ≥ 0, x = 1, y = 0.
2. Вычислить двойной интеграл по области D, ограниченной указанными линиями.
D: y2 = 1 – x, x ≥ 0
3. Вычислить двойной интеграл, используя полярные координаты.
4. Вычислить площадь плоской области D, ограниченной заданными линями.
4.18. D: y = –2x2 + 2, y ≥ – 6.
5. С помощью двойных интегралов вычислить в полярных координатах площадь плоской фигуры, ограниченной указанными линиями.
5.18. (x2 + y2)3 = a2x4
6. Вычислить объем тела, ограниченного заданными поверхностями.
6.18. x2 = 1 – y, x + y + z = 3, y ≥ 0, z ≥ 0




