1. Представить двойной интеграл в виде повторного интеграла с внешним интегрированием по х и внешним интегрированием по y, если область D задана указанными линиями.
1.19. D: x = –1, x = –2, y ≥ 0, y = x2
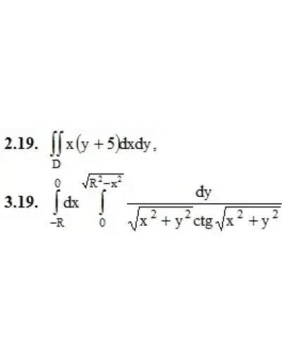
2. Вычислить двойной интеграл по области D, ограниченной указанными линиями.
D: y = x + 5, x + y + 5 = 0, x ≤ 0
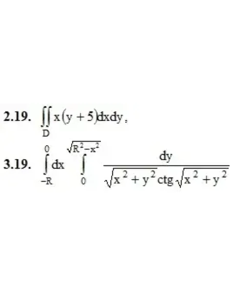
3. Вычислить двойной интеграл, используя полярные координаты.
4. Вычислить площадь плоской области D, ограниченной заданными линями.
4.19. D: y2 = 4x, x = 8/(y2 + 4)
5. С помощью двойных интегралов вычислить в полярных координатах площадь плоской фигуры, ограниченной указанными линиями.
5.19. (x2 + y2)2 = 4 (3x2 + 4y2)
6. Вычислить объем тела, ограниченного заданными поверхностями.
6.19. x = y2, x = 1, x + y + z = 4, z = 0
1.19. D: x = –1, x = –2, y ≥ 0, y = x2
2. Вычислить двойной интеграл по области D, ограниченной указанными линиями.
D: y = x + 5, x + y + 5 = 0, x ≤ 0
3. Вычислить двойной интеграл, используя полярные координаты.
4. Вычислить площадь плоской области D, ограниченной заданными линями.
4.19. D: y2 = 4x, x = 8/(y2 + 4)
5. С помощью двойных интегралов вычислить в полярных координатах площадь плоской фигуры, ограниченной указанными линиями.
5.19. (x2 + y2)2 = 4 (3x2 + 4y2)
6. Вычислить объем тела, ограниченного заданными поверхностями.
6.19. x = y2, x = 1, x + y + z = 4, z = 0




