1. Представить двойной интеграл в виде повторного интеграла с внешним интегрированием по х и внешним интегрированием по y, если область D задана указанными линиями.
1.2. D: x2 = 2y, 5x – 2y – 6 = 0
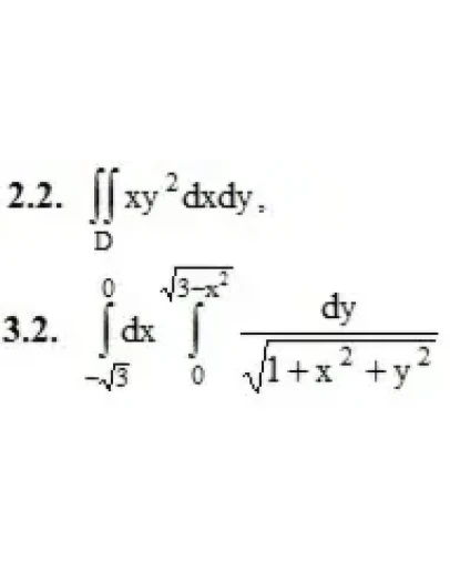
2. Вычислить двойной интеграл по области D, ограниченной указанными линиями.
D: y = x2, y = 2x
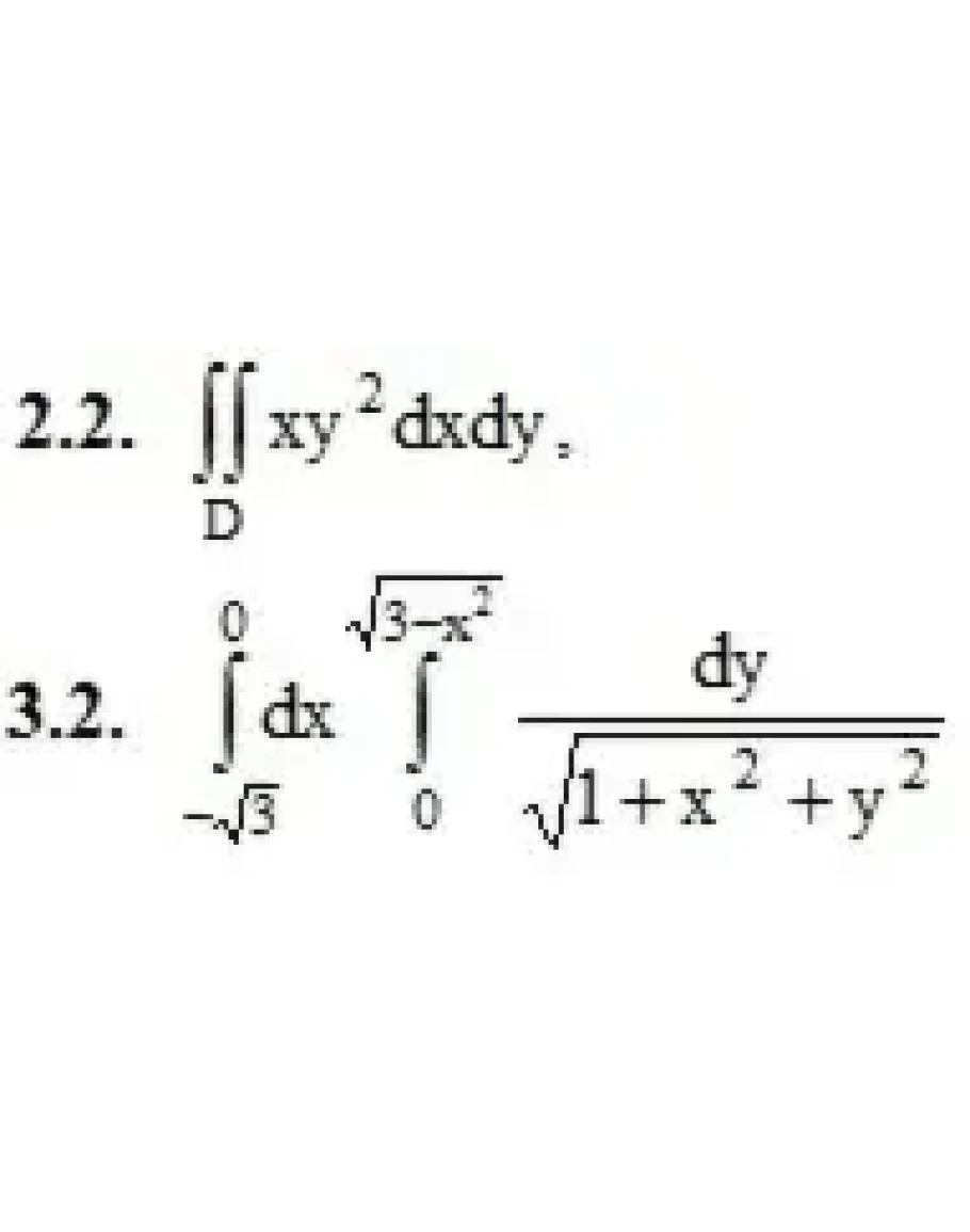
3. Вычислить двойной интеграл, используя полярные координаты.
4. Вычислить площадь плоской области D, ограниченной заданными линями.
4.2. D: y = 6x2, x + y = 2, x ≥ 0
5. С помощью двойных интегралов вычислить в полярных координатах площадь плоской фигуры, ограниченной указанными линиями.
5.2. (x2 + y2)3 = a2x2y2
6. Вычислить объем тела, ограниченного заданными поверхностями.
6.2. z = 2 – (x2 + y2), x + 2y = 1, x ≥ 0, y ≥ 0, z ≥ 0
1.2. D: x2 = 2y, 5x – 2y – 6 = 0
2. Вычислить двойной интеграл по области D, ограниченной указанными линиями.
D: y = x2, y = 2x
3. Вычислить двойной интеграл, используя полярные координаты.
4. Вычислить площадь плоской области D, ограниченной заданными линями.
4.2. D: y = 6x2, x + y = 2, x ≥ 0
5. С помощью двойных интегралов вычислить в полярных координатах площадь плоской фигуры, ограниченной указанными линиями.
5.2. (x2 + y2)3 = a2x2y2
6. Вычислить объем тела, ограниченного заданными поверхностями.
6.2. z = 2 – (x2 + y2), x + 2y = 1, x ≥ 0, y ≥ 0, z ≥ 0




