1. Представить двойной интеграл в виде повторного интеграла с внешним интегрированием по х и внешним интегрированием по y, если область D задана указанными линиями.
1.20. D: y ≤ 0, x2 = –y, x = √1 − y2
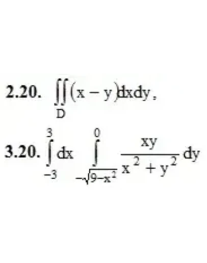
2. Вычислить двойной интеграл по области D, ограниченной указанными линиями.
D: y = x2 – 1, y = 3
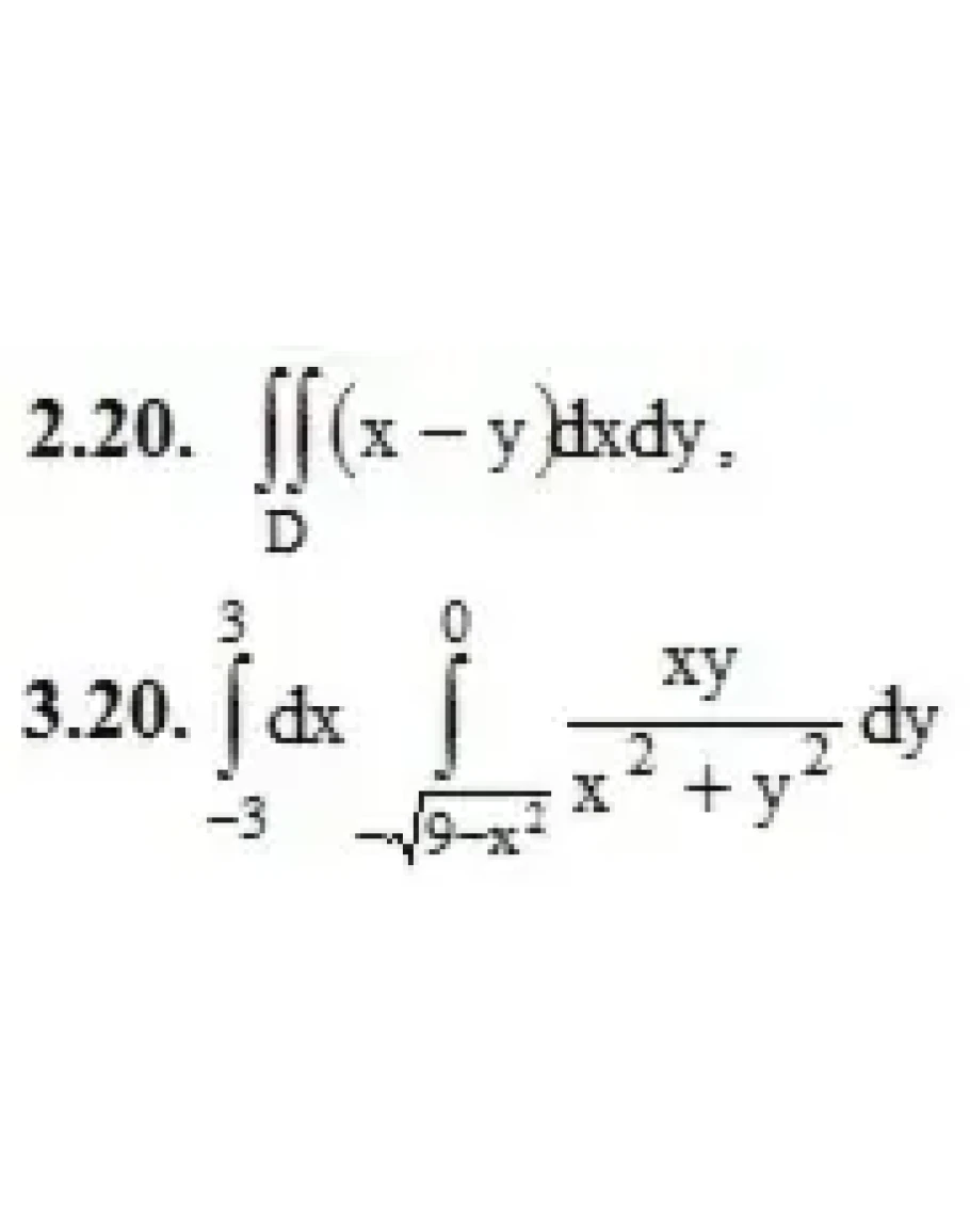
3. Вычислить двойной интеграл, используя полярные координаты.
4. Вычислить площадь плоской области D, ограниченной заданными линями.
4.20. D: y = 4 – x2, y = x2 – 2x
5. С помощью двойных интегралов вычислить в полярных координатах площадь плоской фигуры, ограниченной указанными линиями.
5.20. (x2 + y2)3 = a2x2y2
6. Вычислить объем тела, ограниченного заданными поверхностями.
6.20. z = 2x2 + y2, x + y = 1, x ≥ 0, y ≥ 0, z ≥ 0
1.20. D: y ≤ 0, x2 = –y, x = √1 − y2
2. Вычислить двойной интеграл по области D, ограниченной указанными линиями.
D: y = x2 – 1, y = 3
3. Вычислить двойной интеграл, используя полярные координаты.
4. Вычислить площадь плоской области D, ограниченной заданными линями.
4.20. D: y = 4 – x2, y = x2 – 2x
5. С помощью двойных интегралов вычислить в полярных координатах площадь плоской фигуры, ограниченной указанными линиями.
5.20. (x2 + y2)3 = a2x2y2
6. Вычислить объем тела, ограниченного заданными поверхностями.
6.20. z = 2x2 + y2, x + y = 1, x ≥ 0, y ≥ 0, z ≥ 0




