1. Представить двойной интеграл в виде повторного интеграла с внешним интегрированием по х и внешним интегрированием по y, если область D задана указанными линиями.
1.24. D: x = 0, x = –2, y ≥ 0, y = x2 + 4
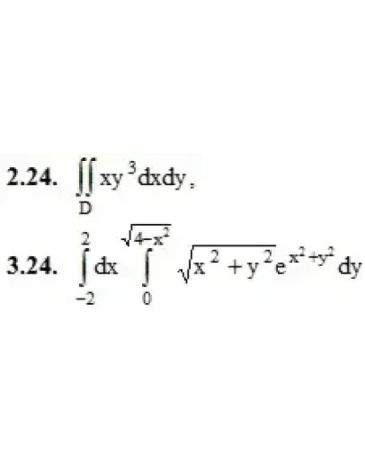
2. Вычислить двойной интеграл по области D, ограниченной указанными линиями.
D: y = x3, y ≥ 0, y = 4x
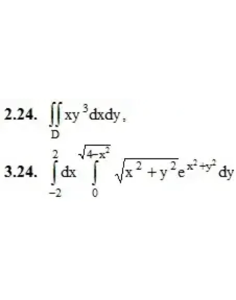
3. Вычислить двойной интеграл, используя полярные координаты.
4. Вычислить площадь плоской области D, ограниченной заданными линями.
4.24. D: x = 4 – y2, x – y + 2 = 0
5. С помощью двойных интегралов вычислить в полярных координатах площадь плоской фигуры, ограниченной указанными линиями.
5.24. ρ = asin2φ
6. Вычислить объем тела, ограниченного заданными поверхностями.
6.24. x2 + y2 = 4y, z2 = 4 – y, z ≥ 0
1.24. D: x = 0, x = –2, y ≥ 0, y = x2 + 4
2. Вычислить двойной интеграл по области D, ограниченной указанными линиями.
D: y = x3, y ≥ 0, y = 4x
3. Вычислить двойной интеграл, используя полярные координаты.
4. Вычислить площадь плоской области D, ограниченной заданными линями.
4.24. D: x = 4 – y2, x – y + 2 = 0
5. С помощью двойных интегралов вычислить в полярных координатах площадь плоской фигуры, ограниченной указанными линиями.
5.24. ρ = asin2φ
6. Вычислить объем тела, ограниченного заданными поверхностями.
6.24. x2 + y2 = 4y, z2 = 4 – y, z ≥ 0




