1. Представить двойной интеграл в виде повторного интеграла с внешним интегрированием по х и внешним интегрированием по y, если область D задана указанными линиями.
1.27. D: x + 2y – 6 = 0 , y = x, y ≥ 0.
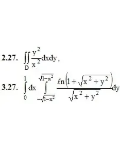
2. Вычислить двойной интеграл по области D, ограниченной указанными линиями.
D: y = x, xy = 1, y = 2
3. Вычислить двойной интеграл, используя полярные координаты.
4. Вычислить площадь плоской области D, ограниченной заданными линями.
4.27. D: y2 = 4 – x, y = x + 2, y = 2, y = –2
5. С помощью двойных интегралов вычислить в полярных координатах площадь плоской фигуры, ограниченной указанными линиями.
5.27. ρ = 2a(2 + cosφ)
6. Вычислить объем тела, ограниченного заданными поверхностями.
6.27. z2 = 4 – x, x2 + y2 = 4x, z ≥ 0
1.27. D: x + 2y – 6 = 0 , y = x, y ≥ 0.
2. Вычислить двойной интеграл по области D, ограниченной указанными линиями.
D: y = x, xy = 1, y = 2
3. Вычислить двойной интеграл, используя полярные координаты.
4. Вычислить площадь плоской области D, ограниченной заданными линями.
4.27. D: y2 = 4 – x, y = x + 2, y = 2, y = –2
5. С помощью двойных интегралов вычислить в полярных координатах площадь плоской фигуры, ограниченной указанными линиями.
5.27. ρ = 2a(2 + cosφ)
6. Вычислить объем тела, ограниченного заданными поверхностями.
6.27. z2 = 4 – x, x2 + y2 = 4x, z ≥ 0




