1. Представить двойной интеграл в виде повторного интеграла с внешним интегрированием по х и внешним интегрированием по y, если область D задана указанными линиями.
1.29. D: x ≥ 0, y = 1, y = –1, y = log1/2x
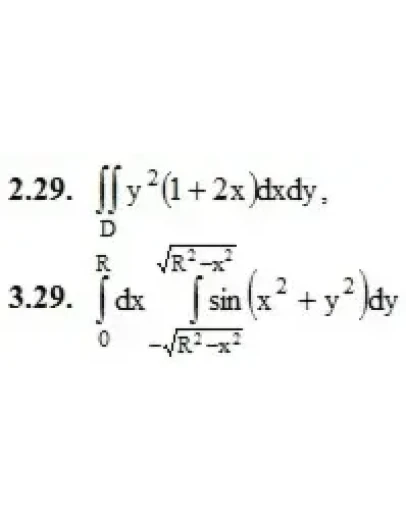
2. Вычислить двойной интеграл по области D, ограниченной указанными линиями.
D: x = 2 – y2, x = 0
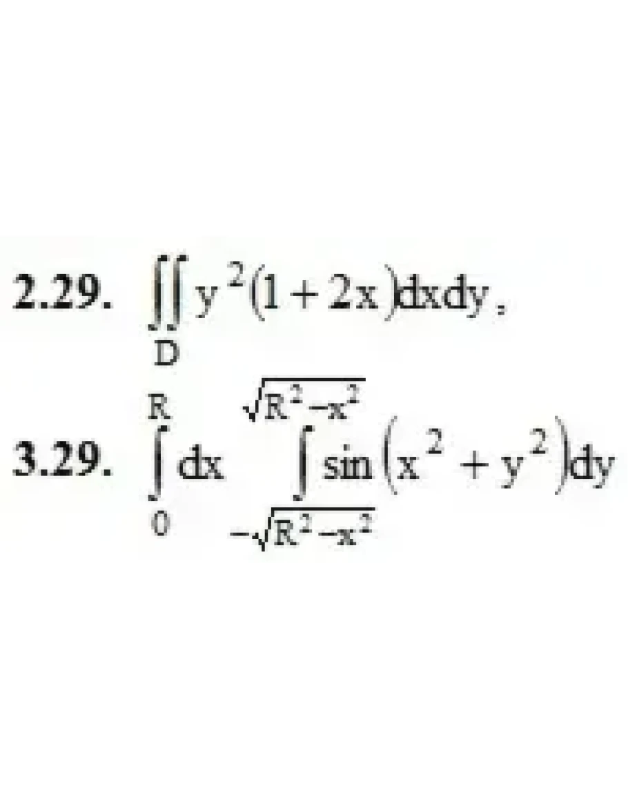
3. Вычислить двойной интеграл, используя полярные координаты.
4. Вычислить площадь плоской области D, ограниченной заданными линями.
4.29. D: x = y2, y2 = 4 – x
5. С помощью двойных интегралов вычислить в полярных координатах площадь плоской фигуры, ограниченной указанными линиями.
5.29. ρ2 = a2cos2φ
6. Вычислить объем тела, ограниченного заданными поверхностями.
6.29. z = y2, x + y = 1, x ≥ 0, z ≥ 0
1.29. D: x ≥ 0, y = 1, y = –1, y = log1/2x
2. Вычислить двойной интеграл по области D, ограниченной указанными линиями.
D: x = 2 – y2, x = 0
3. Вычислить двойной интеграл, используя полярные координаты.
4. Вычислить площадь плоской области D, ограниченной заданными линями.
4.29. D: x = y2, y2 = 4 – x
5. С помощью двойных интегралов вычислить в полярных координатах площадь плоской фигуры, ограниченной указанными линиями.
5.29. ρ2 = a2cos2φ
6. Вычислить объем тела, ограниченного заданными поверхностями.
6.29. z = y2, x + y = 1, x ≥ 0, z ≥ 0




