1. Представить двойной интеграл в виде повторного интеграла с внешним интегрированием по х и внешним интегрированием по y, если область D задана указанными линиями.
1.30. D: x ≥ 0, y ≥ 0, y = 1, x = √4 − y2
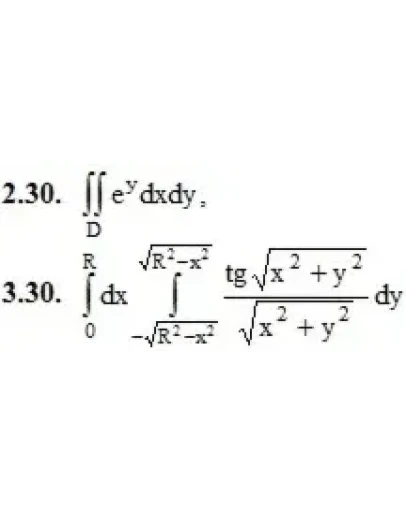
2. Вычислить двойной интеграл по области D, ограниченной указанными линиями.
D: y = lnx, y = 0, x = 2
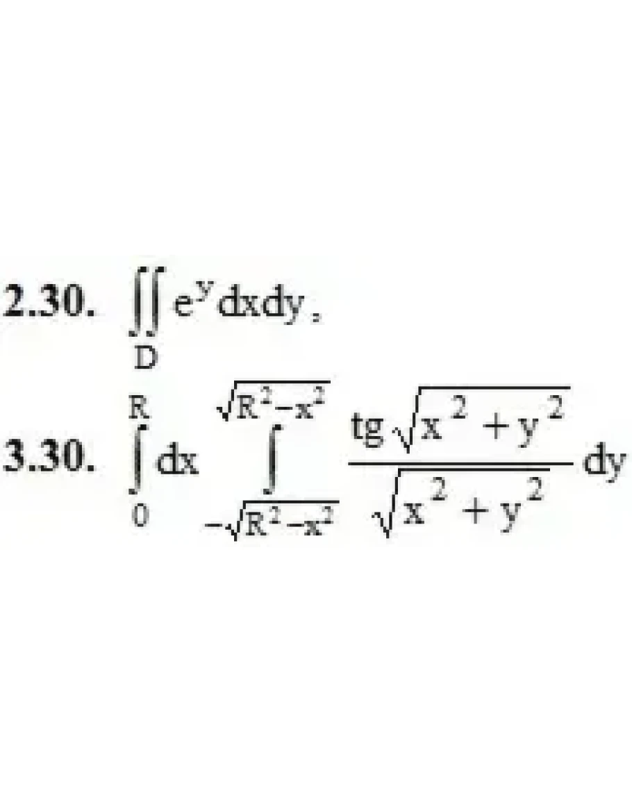
3. Вычислить двойной интеграл, используя полярные координаты.
4. Вычислить площадь плоской области D, ограниченной заданными линями.
4.30. D: xy = 1, x2 = y, y = 2, x = 0.
5. С помощью двойных интегралов вычислить в полярных координатах площадь плоской фигуры, ограниченной указанными линиями.
5.30. ρ = asin3φ
6. Вычислить объем тела, ограниченного заданными поверхностями.
6.30. y2 = x, x = 3, z = x, z ≥ 0
1.30. D: x ≥ 0, y ≥ 0, y = 1, x = √4 − y2
2. Вычислить двойной интеграл по области D, ограниченной указанными линиями.
D: y = lnx, y = 0, x = 2
3. Вычислить двойной интеграл, используя полярные координаты.
4. Вычислить площадь плоской области D, ограниченной заданными линями.
4.30. D: xy = 1, x2 = y, y = 2, x = 0.
5. С помощью двойных интегралов вычислить в полярных координатах площадь плоской фигуры, ограниченной указанными линиями.
5.30. ρ = asin3φ
6. Вычислить объем тела, ограниченного заданными поверхностями.
6.30. y2 = x, x = 3, z = x, z ≥ 0




