1. Расставить пределы интегрирования в тройном интеграле если область V ограничена указанными поверхностями. Начертить область интегрирования
1.1. V: x = 2, y = 4x, y = 3√x; z ≥ 0, z = 4
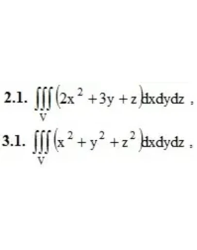
2. Вычислить данные тройные интегралы.
V: 2 ≤ x ≤ 3, −1 ≤ y ≤ 2, 0 ≤ z ≤ 4
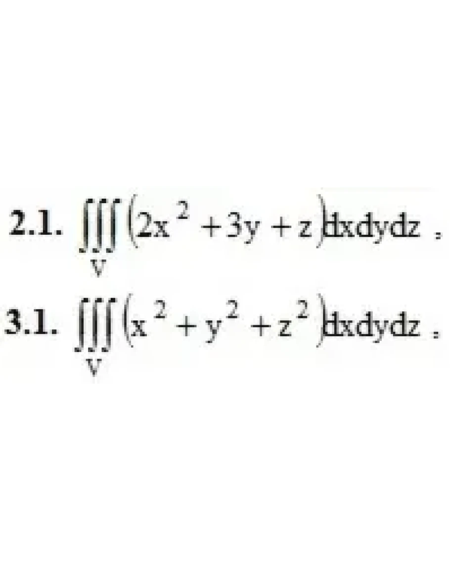
3. Вычислить тройной интеграл с помощью цилиндрических или сферических координат.
, υ: x2 + y2 + z2 = 4, x ≥ 0, y ≥ 0, z ≥ 0
4. С помощью тройного интеграла вычислить объем тела, ограниченного указанными поверхностями. Сделать чертеж.
4.1. z2 = 4 – x, x2 + y2 = 4x
1.1. V: x = 2, y = 4x, y = 3√x; z ≥ 0, z = 4
2. Вычислить данные тройные интегралы.
V: 2 ≤ x ≤ 3, −1 ≤ y ≤ 2, 0 ≤ z ≤ 4
3. Вычислить тройной интеграл с помощью цилиндрических или сферических координат.
, υ: x2 + y2 + z2 = 4, x ≥ 0, y ≥ 0, z ≥ 0
4. С помощью тройного интеграла вычислить объем тела, ограниченного указанными поверхностями. Сделать чертеж.
4.1. z2 = 4 – x, x2 + y2 = 4x




