1. Расставить пределы интегрирования в тройном интеграле если область V ограничена указанными поверхностями. Начертить область интегрирования
1.10. V: x = 2, y = 4x, z ≥ 0, y = 2√z
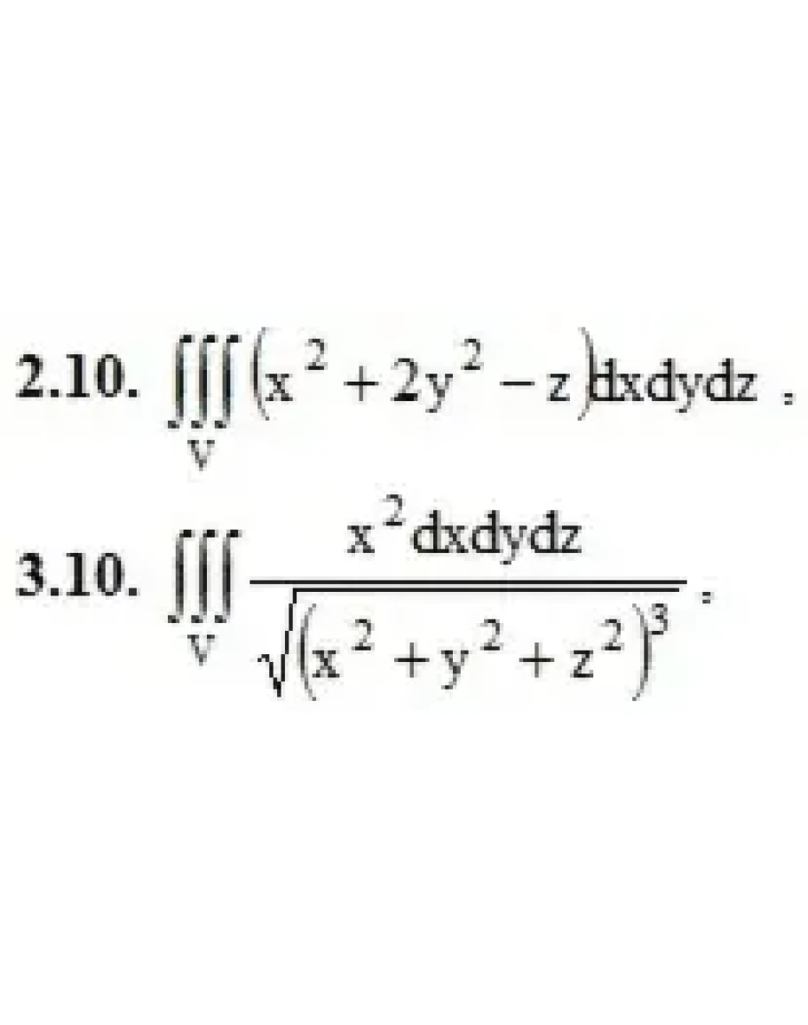
2. Вычислить данные тройные интегралы.
V: 0 ≤ x ≤ 1, 0 ≤ y ≤ 3, −1 ≤ z ≤ 2
3. Вычислить тройной интеграл с помощью цилиндрических или сферических координат.
, υ: x2 + y2 + z2 = 16, z ≥ 0
4. С помощью тройного интеграла вычислить объем тела, ограниченного указанными поверхностями. Сделать чертеж.
4.10. y ≥ 0, z ≥ 0, 2x – y = 0, x + y = 9, z = x2
1.10. V: x = 2, y = 4x, z ≥ 0, y = 2√z
2. Вычислить данные тройные интегралы.
V: 0 ≤ x ≤ 1, 0 ≤ y ≤ 3, −1 ≤ z ≤ 2
3. Вычислить тройной интеграл с помощью цилиндрических или сферических координат.
, υ: x2 + y2 + z2 = 16, z ≥ 0
4. С помощью тройного интеграла вычислить объем тела, ограниченного указанными поверхностями. Сделать чертеж.
4.10. y ≥ 0, z ≥ 0, 2x – y = 0, x + y = 9, z = x2




