1. Расставить пределы интегрирования в тройном интеграле если область V ограничена указанными поверхностями. Начертить область интегрирования
1.11. V: x = 3, y = 1/3x, y ≥ 0; z ≥ 0, z = 1/2(x2 + y2)
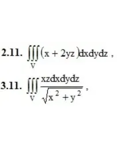
2. Вычислить данные тройные интегралы.
V: −2 ≤ x ≤ 0, 0 ≤ y ≤ 1, 0 ≤ z ≤ 2
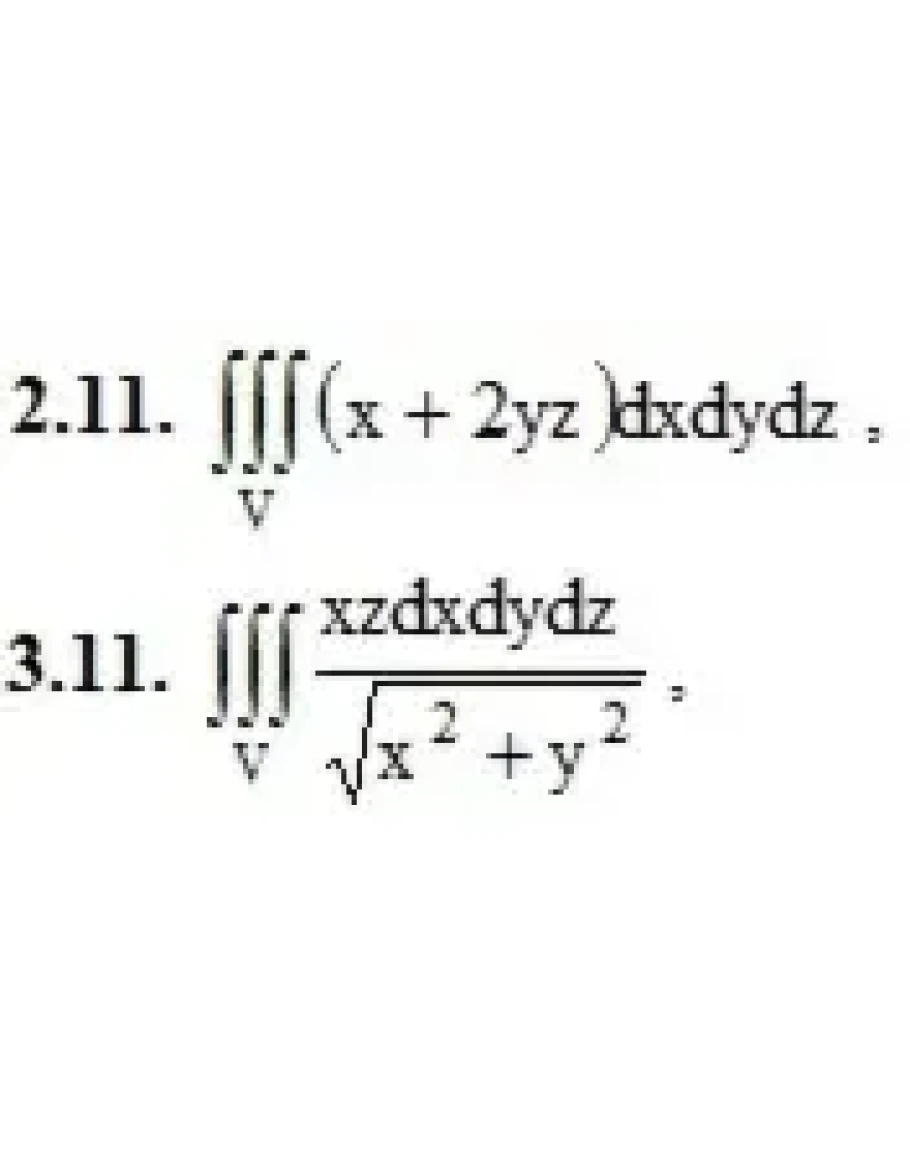
3. Вычислить тройной интеграл с помощью цилиндрических или сферических координат.
, υ: z = 2(x2 + y2), y ≥ 0, y ≤ 1/√3x, z = 18
4. С помощью тройного интеграла вычислить объем тела, ограниченного указанными поверхностями. Сделать чертеж.
4.11. y ≥ 0, z ≥ 0, x = 4, y = 2x, z = x2
1.11. V: x = 3, y = 1/3x, y ≥ 0; z ≥ 0, z = 1/2(x2 + y2)
2. Вычислить данные тройные интегралы.
V: −2 ≤ x ≤ 0, 0 ≤ y ≤ 1, 0 ≤ z ≤ 2
3. Вычислить тройной интеграл с помощью цилиндрических или сферических координат.
, υ: z = 2(x2 + y2), y ≥ 0, y ≤ 1/√3x, z = 18
4. С помощью тройного интеграла вычислить объем тела, ограниченного указанными поверхностями. Сделать чертеж.
4.11. y ≥ 0, z ≥ 0, x = 4, y = 2x, z = x2




