1. Расставить пределы интегрирования в тройном интеграле если область V ограничена указанными поверхностями. Начертить область интегрирования
1.12. V: x = 4, y = x/4, z ≥ 0, z = 4y2
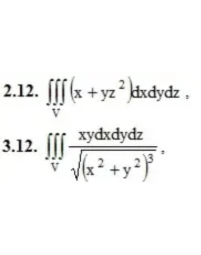
2. Вычислить данные тройные интегралы.
V: 0 ≤ x ≤ 1, 0 ≤ y ≤ 2, −1 ≤ z ≤ 3
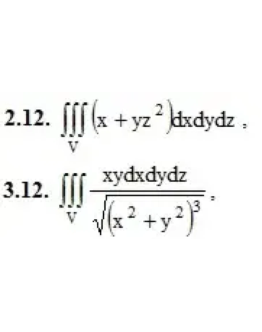
3. Вычислить тройной интеграл с помощью цилиндрических или сферических координат.
, υ: z = x2 + y2, y ≥ 0, y ≤ x, z = 4
4. С помощью тройного интеграла вычислить объем тела, ограниченного указанными поверхностями. Сделать чертеж.
4.12. x ≥ 0, z ≥ 0, y = 2x, y = 3, z = √y
1.12. V: x = 4, y = x/4, z ≥ 0, z = 4y2
2. Вычислить данные тройные интегралы.
V: 0 ≤ x ≤ 1, 0 ≤ y ≤ 2, −1 ≤ z ≤ 3
3. Вычислить тройной интеграл с помощью цилиндрических или сферических координат.
, υ: z = x2 + y2, y ≥ 0, y ≤ x, z = 4
4. С помощью тройного интеграла вычислить объем тела, ограниченного указанными поверхностями. Сделать чертеж.
4.12. x ≥ 0, z ≥ 0, y = 2x, y = 3, z = √y




