1. Расставить пределы интегрирования в тройном интеграле если область V ограничена указанными поверхностями. Начертить область интегрирования
1.15. V: x ≥ 0, y = 5x, y = 10; z ≥ 0, z = x2 + y2
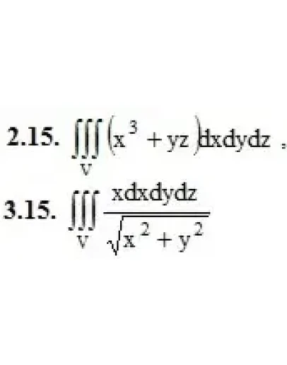
2. Вычислить данные тройные интегралы.
V: −1 ≤ x ≤ 2, 0 ≤ y ≤ 1, 0 ≤ z ≤ 1
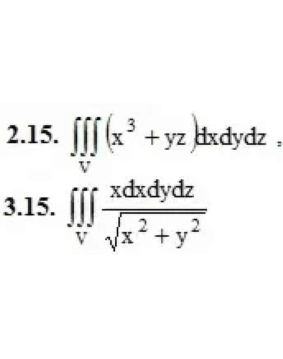
3. Вычислить тройной интеграл с помощью цилиндрических или сферических координат.
, υ: x2 + y2 = 16y, y + z = 16, x ≥ 0, z ≥ 0
4. С помощью тройного интеграла вычислить объем тела, ограниченного указанными поверхностями. Сделать чертеж.
4.15. z ≥ 0, y = √9 − x2, z = 2y
1.15. V: x ≥ 0, y = 5x, y = 10; z ≥ 0, z = x2 + y2
2. Вычислить данные тройные интегралы.
V: −1 ≤ x ≤ 2, 0 ≤ y ≤ 1, 0 ≤ z ≤ 1
3. Вычислить тройной интеграл с помощью цилиндрических или сферических координат.
, υ: x2 + y2 = 16y, y + z = 16, x ≥ 0, z ≥ 0
4. С помощью тройного интеграла вычислить объем тела, ограниченного указанными поверхностями. Сделать чертеж.
4.15. z ≥ 0, y = √9 − x2, z = 2y




