1. Расставить пределы интегрирования в тройном интеграле если область V ограничена указанными поверхностями. Начертить область интегрирования
1.16. V: y = x, y = –x, y = 2, z ≥ 0, z = 3(x2 + y2)
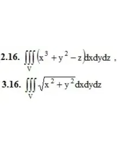
2. Вычислить данные тройные интегралы.
V: 0 ≤ x ≤ 2, −1 ≤ y ≤ 0, 0 ≤ z ≤ 1
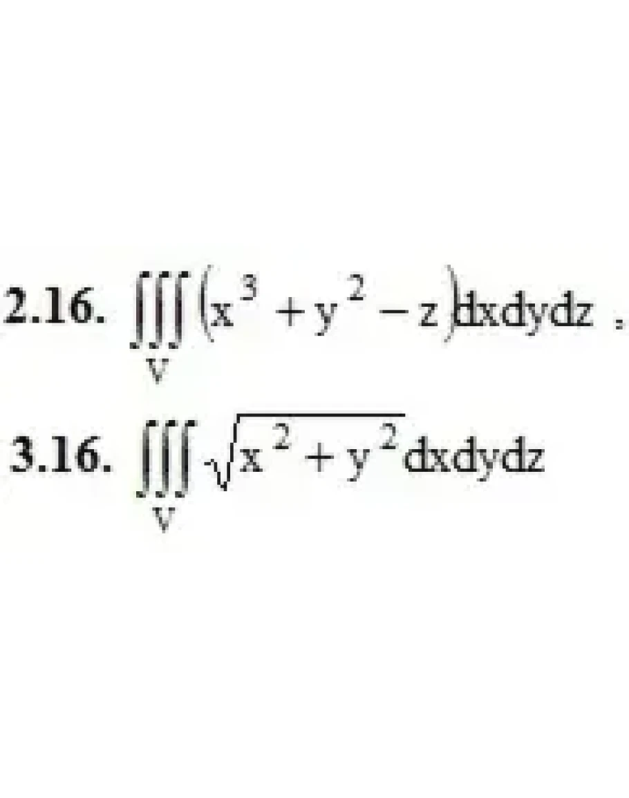
3. Вычислить тройной интеграл с помощью цилиндрических или сферических координат.
, υ: x2 + y2 = 2x, x + z = 2, z ≥ 0
4. С помощью тройного интеграла вычислить объем тела, ограниченного указанными поверхностями. Сделать чертеж.
4.16. x ≥ 0, y ≥ 0, z ≥ 0, x + y = 2, z = x2 + y2
1.16. V: y = x, y = –x, y = 2, z ≥ 0, z = 3(x2 + y2)
2. Вычислить данные тройные интегралы.
V: 0 ≤ x ≤ 2, −1 ≤ y ≤ 0, 0 ≤ z ≤ 1
3. Вычислить тройной интеграл с помощью цилиндрических или сферических координат.
, υ: x2 + y2 = 2x, x + z = 2, z ≥ 0
4. С помощью тройного интеграла вычислить объем тела, ограниченного указанными поверхностями. Сделать чертеж.
4.16. x ≥ 0, y ≥ 0, z ≥ 0, x + y = 2, z = x2 + y2




