1. Расставить пределы интегрирования в тройном интеграле если область V ограничена указанными поверхностями. Начертить область интегрирования
1.17. V: x = 1, y = 2x, y = 3x, z ≥ 0, z = 2x2 + y2
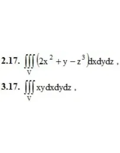
2. Вычислить данные тройные интегралы.
V: 0 ≤ x ≤ 1, −2 ≤ y ≤ 1, 0 ≤ z ≤ 1
3. Вычислить тройной интеграл с помощью цилиндрических или сферических координат.
, υ: 2 ≤ x2 + y2 + z2 ≤ 8, z2 = x2 + y2, x ≥ 0, y ≥ 0, z ≥ 0
4. С помощью тройного интеграла вычислить объем тела, ограниченного указанными поверхностями. Сделать чертеж.
4.17. z ≥ 0, x2 + y2 = 9, z = 5 – x – y
1.17. V: x = 1, y = 2x, y = 3x, z ≥ 0, z = 2x2 + y2
2. Вычислить данные тройные интегралы.
V: 0 ≤ x ≤ 1, −2 ≤ y ≤ 1, 0 ≤ z ≤ 1
3. Вычислить тройной интеграл с помощью цилиндрических или сферических координат.
, υ: 2 ≤ x2 + y2 + z2 ≤ 8, z2 = x2 + y2, x ≥ 0, y ≥ 0, z ≥ 0
4. С помощью тройного интеграла вычислить объем тела, ограниченного указанными поверхностями. Сделать чертеж.
4.17. z ≥ 0, x2 + y2 = 9, z = 5 – x – y




