1. Расставить пределы интегрирования в тройном интеграле если область V ограничена указанными поверхностями. Начертить область интегрирования
1.19. V: x ≥ 0, y ≥ 0, z ≥ 0, x + y = 1, z = 3x2 + 2y2
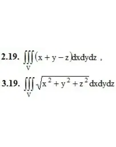
2. Вычислить данные тройные интегралы.
V: 0 ≤ x ≤ 4, 1 ≤ y ≤ 3, −1 ≤ z ≤ 5
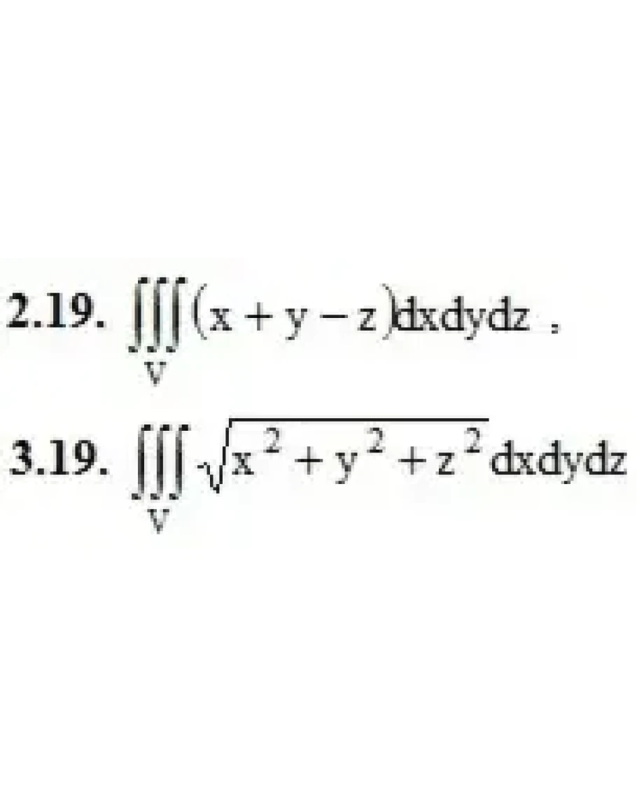
3. Вычислить тройной интеграл с помощью цилиндрических или сферических координат.
, υ: x2 + y2 + z2 = 36, y ≥ 0, z ≥ 0, y ≤ −x
4. С помощью тройного интеграла вычислить объем тела, ограниченного указанными поверхностями. Сделать чертеж.
4.19. y ≥ 0, z ≥ 0, x + y = 2, z = x2
1.19. V: x ≥ 0, y ≥ 0, z ≥ 0, x + y = 1, z = 3x2 + 2y2
2. Вычислить данные тройные интегралы.
V: 0 ≤ x ≤ 4, 1 ≤ y ≤ 3, −1 ≤ z ≤ 5
3. Вычислить тройной интеграл с помощью цилиндрических или сферических координат.
, υ: x2 + y2 + z2 = 36, y ≥ 0, z ≥ 0, y ≤ −x
4. С помощью тройного интеграла вычислить объем тела, ограниченного указанными поверхностями. Сделать чертеж.
4.19. y ≥ 0, z ≥ 0, x + y = 2, z = x2




