1. Расставить пределы интегрирования в тройном интеграле если область V ограничена указанными поверхностями. Начертить область интегрирования
1.2. V: x = 1, y = 3x, y ≥ 0; z ≥ 0, z = 2(x2 + y2)
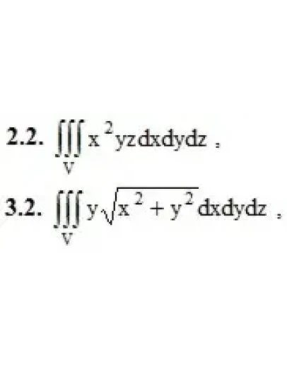
2. Вычислить данные тройные интегралы.
V: −1 ≤ x ≤ 2, 0 ≤ y ≤ 3, 2 ≤ z ≤ 3
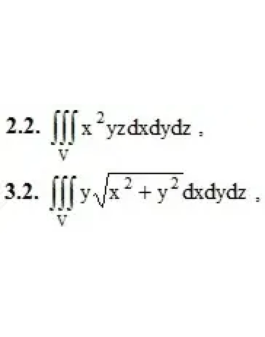
3. Вычислить тройной интеграл с помощью цилиндрических или сферических координат.
, υ: z ≥ 0, z = 2, y ≥ ± x, z2 = 4(x2 + y2)
4. С помощью тройного интеграла вычислить объем тела, ограниченного указанными поверхностями. Сделать чертеж.
4.2. z = 4 – y2, x2 + y2 = 4, z ≥ 0
1.2. V: x = 1, y = 3x, y ≥ 0; z ≥ 0, z = 2(x2 + y2)
2. Вычислить данные тройные интегралы.
V: −1 ≤ x ≤ 2, 0 ≤ y ≤ 3, 2 ≤ z ≤ 3
3. Вычислить тройной интеграл с помощью цилиндрических или сферических координат.
, υ: z ≥ 0, z = 2, y ≥ ± x, z2 = 4(x2 + y2)
4. С помощью тройного интеграла вычислить объем тела, ограниченного указанными поверхностями. Сделать чертеж.
4.2. z = 4 – y2, x2 + y2 = 4, z ≥ 0




