1. Расставить пределы интегрирования в тройном интеграле если область V ограничена указанными поверхностями. Начертить область интегрирования
1.20. V: x ≥ 0, y ≥ 0, z ≥ 0, 3x + 2y = 6, z = x2 + y2
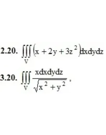
2. Вычислить данные тройные интегралы.
V: −1 ≤ x ≤ 2, 0 ≤ y ≤ 1, 1 ≤ z ≤ 2
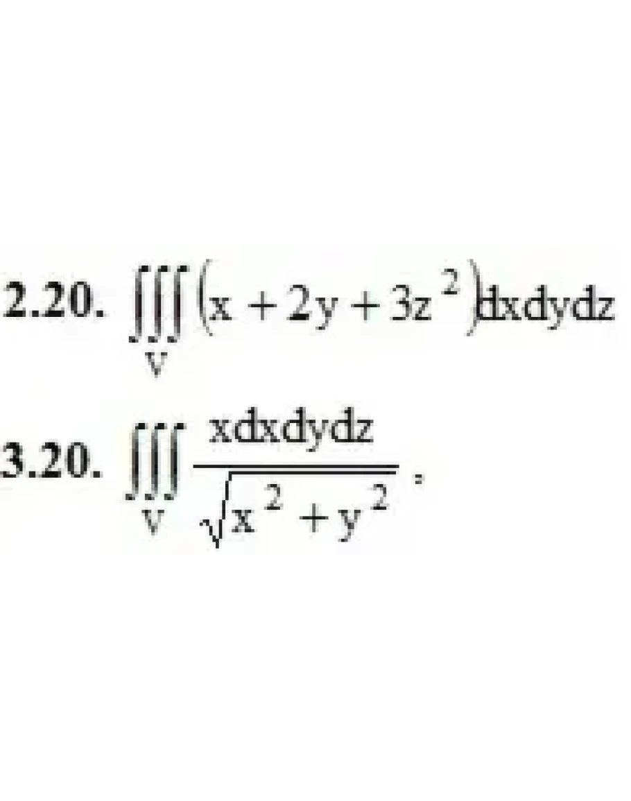
3. Вычислить тройной интеграл с помощью цилиндрических или сферических координат.
, υ: x2 + y2 = 2x, x2 + y2 = 4x, z ≥ 0, z = 4, y ≥ 0, y ≤ x
4. С помощью тройного интеграла вычислить объем тела, ограниченного указанными поверхностями. Сделать чертеж.
4.20. y ≥ 0, z ≥ 0, y = 4, z = x, x = √25 − y2
1.20. V: x ≥ 0, y ≥ 0, z ≥ 0, 3x + 2y = 6, z = x2 + y2
2. Вычислить данные тройные интегралы.
V: −1 ≤ x ≤ 2, 0 ≤ y ≤ 1, 1 ≤ z ≤ 2
3. Вычислить тройной интеграл с помощью цилиндрических или сферических координат.
, υ: x2 + y2 = 2x, x2 + y2 = 4x, z ≥ 0, z = 4, y ≥ 0, y ≤ x
4. С помощью тройного интеграла вычислить объем тела, ограниченного указанными поверхностями. Сделать чертеж.
4.20. y ≥ 0, z ≥ 0, y = 4, z = x, x = √25 − y2




