1. Расставить пределы интегрирования в тройном интеграле если область V ограничена указанными поверхностями. Начертить область интегрирования
1.21. V: x ≥ 0, y ≥ 0, z ≥ 0, x + y = 2, z = 4 – x2 – y2
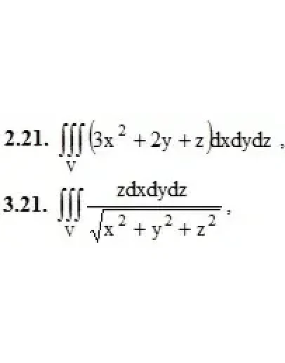
2. Вычислить данные тройные интегралы.
V: 0 ≤ x ≤ 1, 0 ≤ y ≤ 1, −1 ≤ z ≤ 3
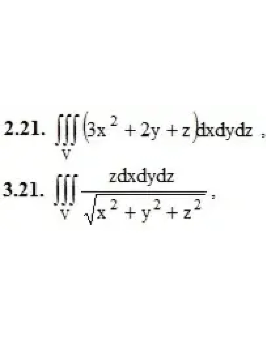
3. Вычислить тройной интеграл с помощью цилиндрических или сферических координат.
, υ: 1 ≤ x2 + y2 + z2 ≤ 9, y ≥ 0, y ≤ 1/√3x, z ≥ 0
4. С помощью тройного интеграла вычислить объем тела, ограниченного указанными поверхностями. Сделать чертеж.
4.21. z ≥ 0, x2 + y2 = 9, z = y2
1.21. V: x ≥ 0, y ≥ 0, z ≥ 0, x + y = 2, z = 4 – x2 – y2
2. Вычислить данные тройные интегралы.
V: 0 ≤ x ≤ 1, 0 ≤ y ≤ 1, −1 ≤ z ≤ 3
3. Вычислить тройной интеграл с помощью цилиндрических или сферических координат.
, υ: 1 ≤ x2 + y2 + z2 ≤ 9, y ≥ 0, y ≤ 1/√3x, z ≥ 0
4. С помощью тройного интеграла вычислить объем тела, ограниченного указанными поверхностями. Сделать чертеж.
4.21. z ≥ 0, x2 + y2 = 9, z = y2




