1. Расставить пределы интегрирования в тройном интеграле если область V ограничена указанными поверхностями. Начертить область интегрирования
1.22. V: x ≥ 0, y ≥ 0, z ≥ 0, x + y = 3, z = 9 – x2 – y2
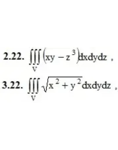
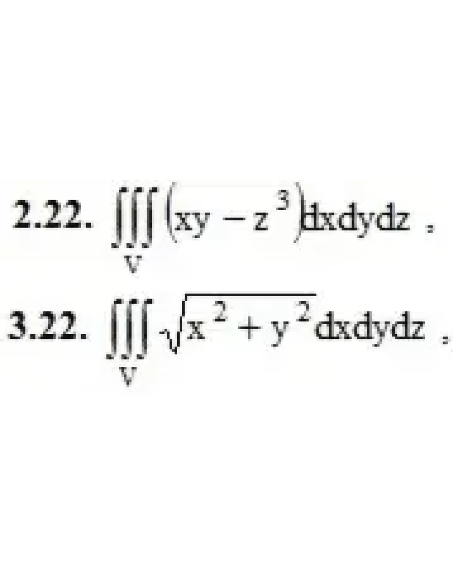
2. Вычислить данные тройные интегралы.
V: 0 ≤ x ≤ 1, −1 ≤ y ≤ 2, 0 ≤ z ≤ 3
3. Вычислить тройной интеграл с помощью цилиндрических или сферических координат.
, υ: x2 – 2x + y2 = 0, y ≥ 0, z ≥ 0, x + z = 2
4. С помощью тройного интеграла вычислить объем тела, ограниченного указанными поверхностями. Сделать чертеж.
4.22. x ≥ 0, z ≥ 0, y ≥ x, z = 1 – x2 – y2
1.22. V: x ≥ 0, y ≥ 0, z ≥ 0, x + y = 3, z = 9 – x2 – y2
2. Вычислить данные тройные интегралы.
V: 0 ≤ x ≤ 1, −1 ≤ y ≤ 2, 0 ≤ z ≤ 3
3. Вычислить тройной интеграл с помощью цилиндрических или сферических координат.
, υ: x2 – 2x + y2 = 0, y ≥ 0, z ≥ 0, x + z = 2
4. С помощью тройного интеграла вычислить объем тела, ограниченного указанными поверхностями. Сделать чертеж.
4.22. x ≥ 0, z ≥ 0, y ≥ x, z = 1 – x2 – y2




