1. Расставить пределы интегрирования в тройном интеграле если область V ограничена указанными поверхностями. Начертить область интегрирования
1.25. V: x = 2, y ≥ 0, z ≥ 0, y = 3x, z = 4(x2 + y2)
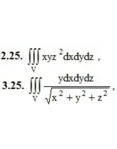
2. Вычислить данные тройные интегралы.
V: 0 ≤ x ≤ 2, −1 ≤ y ≤ 0, 0 ≤ z ≤ 4
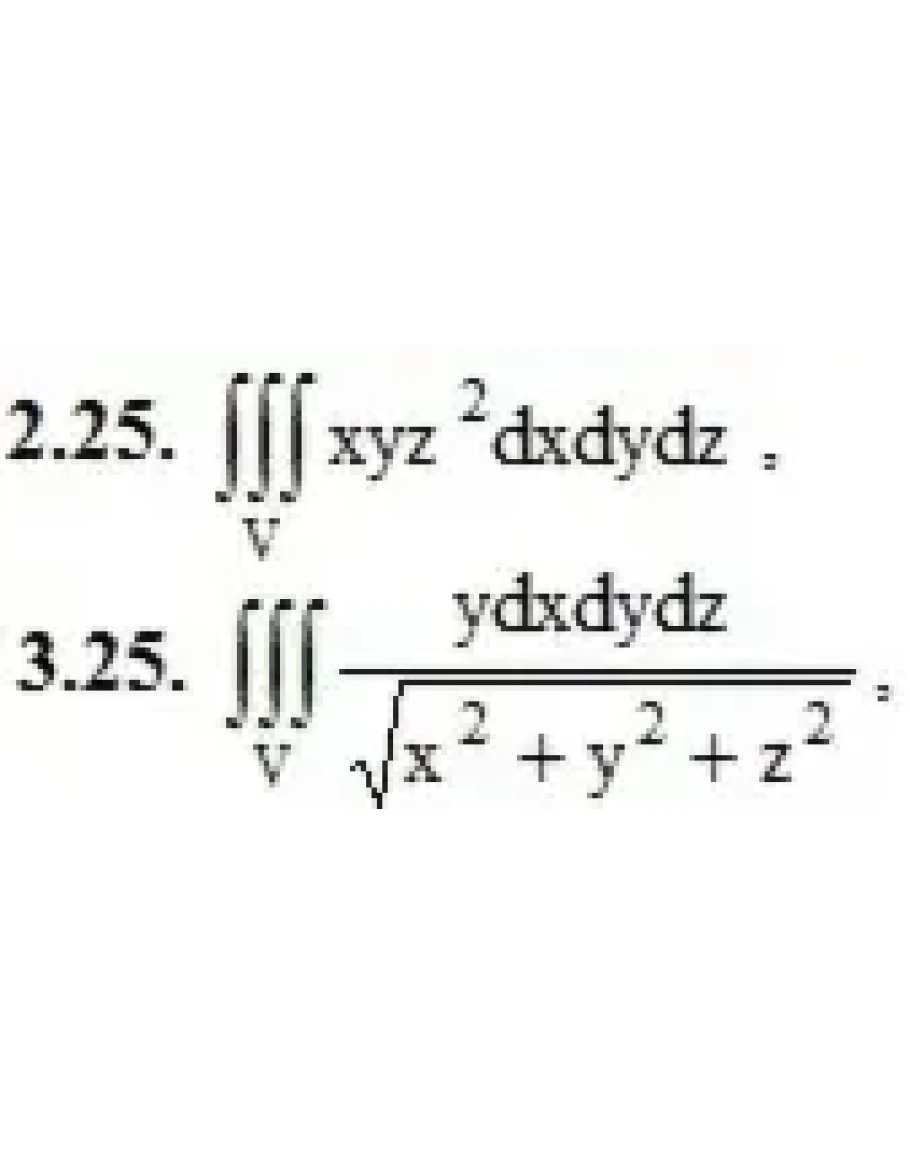
3. Вычислить тройной интеграл с помощью цилиндрических или сферических координат.
, υ: 4 ≤ x2 + y2 + z2 ≤ 16, y ≤ √3x, y ≥ 0, z ≥ 0
4. С помощью тройного интеграла вычислить объем тела, ограниченного указанными поверхностями. Сделать чертеж.
4.25. z ≥ 0, y + z = 2, x2 + y2 = 4
1.25. V: x = 2, y ≥ 0, z ≥ 0, y = 3x, z = 4(x2 + y2)
2. Вычислить данные тройные интегралы.
V: 0 ≤ x ≤ 2, −1 ≤ y ≤ 0, 0 ≤ z ≤ 4
3. Вычислить тройной интеграл с помощью цилиндрических или сферических координат.
, υ: 4 ≤ x2 + y2 + z2 ≤ 16, y ≤ √3x, y ≥ 0, z ≥ 0
4. С помощью тройного интеграла вычислить объем тела, ограниченного указанными поверхностями. Сделать чертеж.
4.25. z ≥ 0, y + z = 2, x2 + y2 = 4




