1. Расставить пределы интегрирования в тройном интеграле если область V ограничена указанными поверхностями. Начертить область интегрирования
1.27. V: x = 3, y ≥ 0, z ≥ 0, y = 2x, z = 4√y
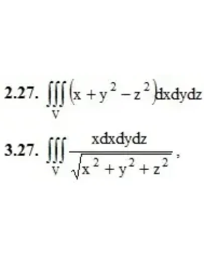
2. Вычислить данные тройные интегралы.
V: −2 ≤ x ≤ 0, 1 ≤ y ≤ 2, 0 ≤ z ≤ 5
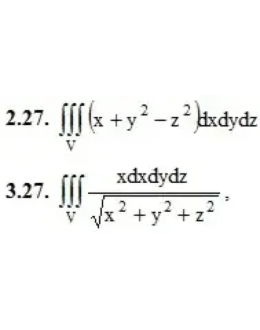
3. Вычислить тройной интеграл с помощью цилиндрических или сферических координат.
, υ: 1 ≤ x2 + y2 + z2 ≤ 4, x ≥ 0, y ≤ x, y ≥ 0, z ≥ 0
4. С помощью тройного интеграла вычислить объем тела, ограниченного указанными поверхностями. Сделать чертеж.
4.27. x ≥ 0, y ≥ 0, z ≥ 0, 2x + y = 2, z = y2
1.27. V: x = 3, y ≥ 0, z ≥ 0, y = 2x, z = 4√y
2. Вычислить данные тройные интегралы.
V: −2 ≤ x ≤ 0, 1 ≤ y ≤ 2, 0 ≤ z ≤ 5
3. Вычислить тройной интеграл с помощью цилиндрических или сферических координат.
, υ: 1 ≤ x2 + y2 + z2 ≤ 4, x ≥ 0, y ≤ x, y ≥ 0, z ≥ 0
4. С помощью тройного интеграла вычислить объем тела, ограниченного указанными поверхностями. Сделать чертеж.
4.27. x ≥ 0, y ≥ 0, z ≥ 0, 2x + y = 2, z = y2




