1. Расставить пределы интегрирования в тройном интеграле если область V ограничена указанными поверхностями. Начертить область интегрирования
1.29. V: x ≥ 0, y ≥ 0, z ≥ 0, x + y = 4, z = 16 – x2 – y2
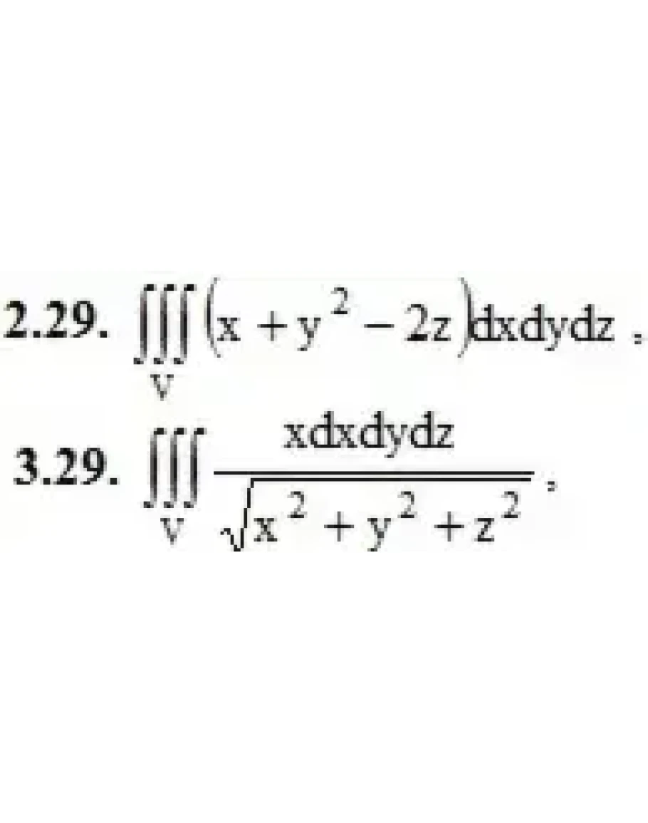
2. Вычислить данные тройные интегралы.
V: 1 ≤ x ≤ 2, −2 ≤ y ≤ 3, 0 ≤ z ≤ 1
3. Вычислить тройной интеграл с помощью цилиндрических или сферических координат.
, υ: 1 ≤ x2 + y2 + z2 ≤ 9, y ≤ x, y ≥ 0, z ≥ 0
4. С помощью тройного интеграла вычислить объем тела, ограниченного указанными поверхностями. Сделать чертеж.
4.29. x ≥ 0, y ≥ 0, z ≥ 0, y = 3 – x, z = 9 – x2
1.29. V: x ≥ 0, y ≥ 0, z ≥ 0, x + y = 4, z = 16 – x2 – y2
2. Вычислить данные тройные интегралы.
V: 1 ≤ x ≤ 2, −2 ≤ y ≤ 3, 0 ≤ z ≤ 1
3. Вычислить тройной интеграл с помощью цилиндрических или сферических координат.
, υ: 1 ≤ x2 + y2 + z2 ≤ 9, y ≤ x, y ≥ 0, z ≥ 0
4. С помощью тройного интеграла вычислить объем тела, ограниченного указанными поверхностями. Сделать чертеж.
4.29. x ≥ 0, y ≥ 0, z ≥ 0, y = 3 – x, z = 9 – x2




