1. Расставить пределы интегрирования в тройном интеграле если область V ограничена указанными поверхностями. Начертить область интегрирования
1.3. V: x = 1, y = 4x, z ≥ 0, z = √3y
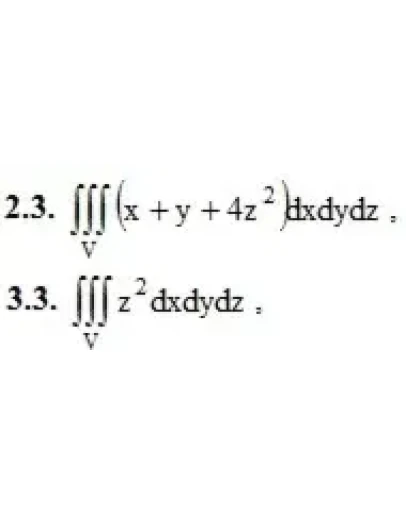
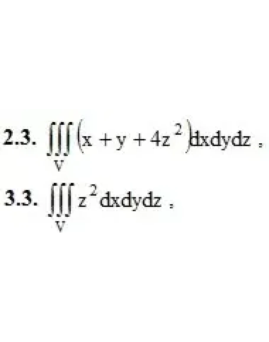
2. Вычислить данные тройные интегралы.
V: −1 ≤ x ≤ 1, 0 ≤ y ≤ 2, −1 ≤ z ≤ 1
3. Вычислить тройной интеграл с помощью цилиндрических или сферических координат.
, υ: 1 ≤ x2 + y2 ≤ 36, y ≥ x, x ≥ 0, z ≥ 0
4. С помощью тройного интеграла вычислить объем тела, ограниченного указанными поверхностями. Сделать чертеж.
4.3. x2 + y2 = 1, z = 2 – x – y, z ≥ 0
1.3. V: x = 1, y = 4x, z ≥ 0, z = √3y
2. Вычислить данные тройные интегралы.
V: −1 ≤ x ≤ 1, 0 ≤ y ≤ 2, −1 ≤ z ≤ 1
3. Вычислить тройной интеграл с помощью цилиндрических или сферических координат.
, υ: 1 ≤ x2 + y2 ≤ 36, y ≥ x, x ≥ 0, z ≥ 0
4. С помощью тройного интеграла вычислить объем тела, ограниченного указанными поверхностями. Сделать чертеж.
4.3. x2 + y2 = 1, z = 2 – x – y, z ≥ 0




