1. Расставить пределы интегрирования в тройном интеграле если область V ограничена указанными поверхностями. Начертить область интегрирования
1.7. V: x ≥ 0, y = 2x, y = 1; z ≥ 0, x + y + z =3
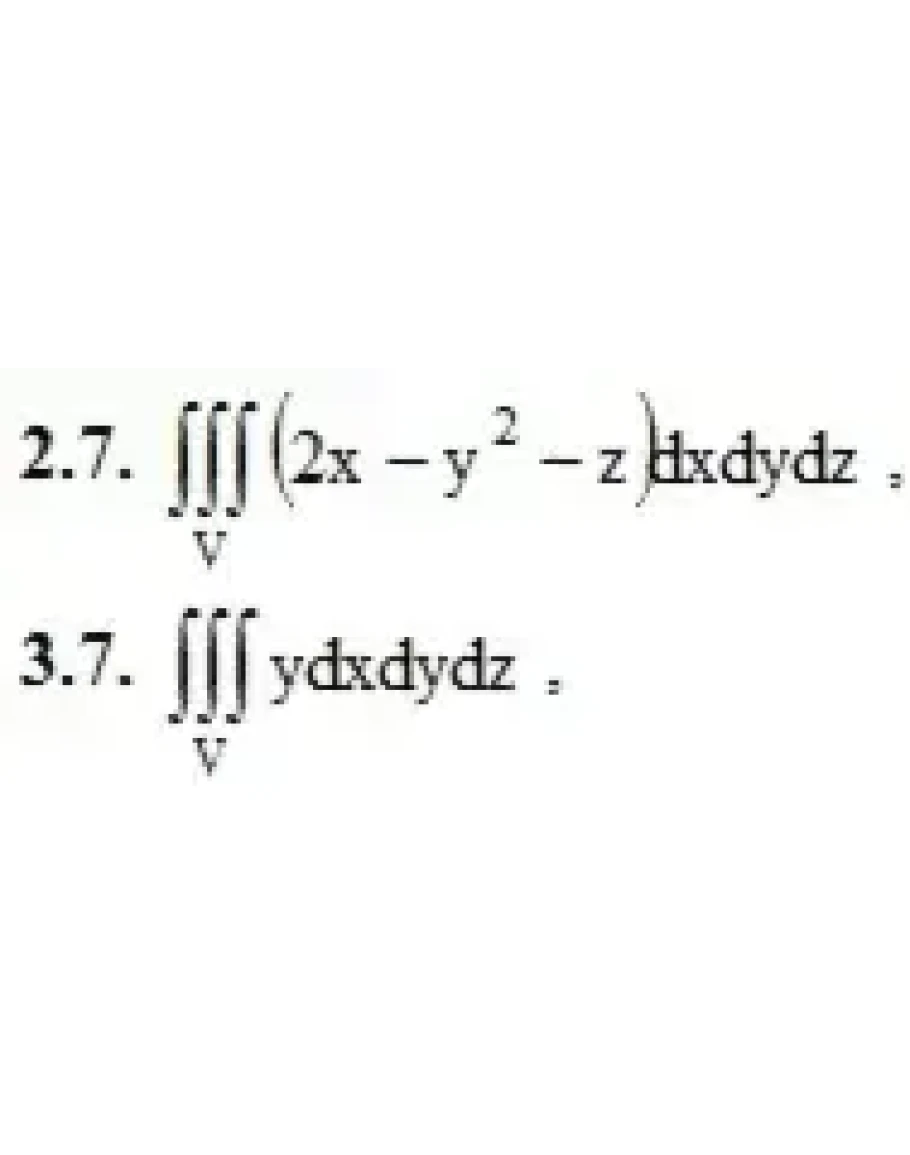
2. Вычислить данные тройные интегралы.
V: 1 ≤ x ≤ 5, 0 ≤ y ≤ 2, −1 ≤ z ≤ 0
3. Вычислить тройной интеграл с помощью цилиндрических или сферических координат.
, υ: z = √8 − x2 − y2, z = √x2 + y2, y ≥ 0
4. С помощью тройного интеграла вычислить объем тела, ограниченного указанными поверхностями. Сделать чертеж.
4.7. z ≥ 0, z = x2, x – 2y + 2 = 0, x + y = 7
1.7. V: x ≥ 0, y = 2x, y = 1; z ≥ 0, x + y + z =3
2. Вычислить данные тройные интегралы.
V: 1 ≤ x ≤ 5, 0 ≤ y ≤ 2, −1 ≤ z ≤ 0
3. Вычислить тройной интеграл с помощью цилиндрических или сферических координат.
, υ: z = √8 − x2 − y2, z = √x2 + y2, y ≥ 0
4. С помощью тройного интеграла вычислить объем тела, ограниченного указанными поверхностями. Сделать чертеж.
4.7. z ≥ 0, z = x2, x – 2y + 2 = 0, x + y = 7




