1. Расставить пределы интегрирования в тройном интеграле если область V ограничена указанными поверхностями. Начертить область интегрирования
1.8. V: x ≥ 0, y = 3x, y = 3; z ≥ 0, x = 3√z
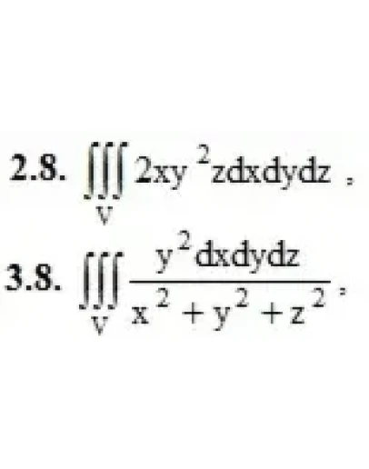
2. Вычислить данные тройные интегралы.
V: 0 ≤ x ≤ 3, −2 ≤ y ≤ 0, 1 ≤ z ≤ 2
3. Вычислить тройной интеграл с помощью цилиндрических или сферических координат.
, υ: x ≥ 0, z ≥ 0, y ≥ √3x, 4 ≤ x2 + y2 + z2 ≤ 36
4. С помощью тройного интеграла вычислить объем тела, ограниченного указанными поверхностями. Сделать чертеж.
4.8. x ≥ 0, z ≥ 0, z = y, x = 4, y = √25 − x2
1.8. V: x ≥ 0, y = 3x, y = 3; z ≥ 0, x = 3√z
2. Вычислить данные тройные интегралы.
V: 0 ≤ x ≤ 3, −2 ≤ y ≤ 0, 1 ≤ z ≤ 2
3. Вычислить тройной интеграл с помощью цилиндрических или сферических координат.
, υ: x ≥ 0, z ≥ 0, y ≥ √3x, 4 ≤ x2 + y2 + z2 ≤ 36
4. С помощью тройного интеграла вычислить объем тела, ограниченного указанными поверхностями. Сделать чертеж.
4.8. x ≥ 0, z ≥ 0, z = y, x = 4, y = √25 − x2




