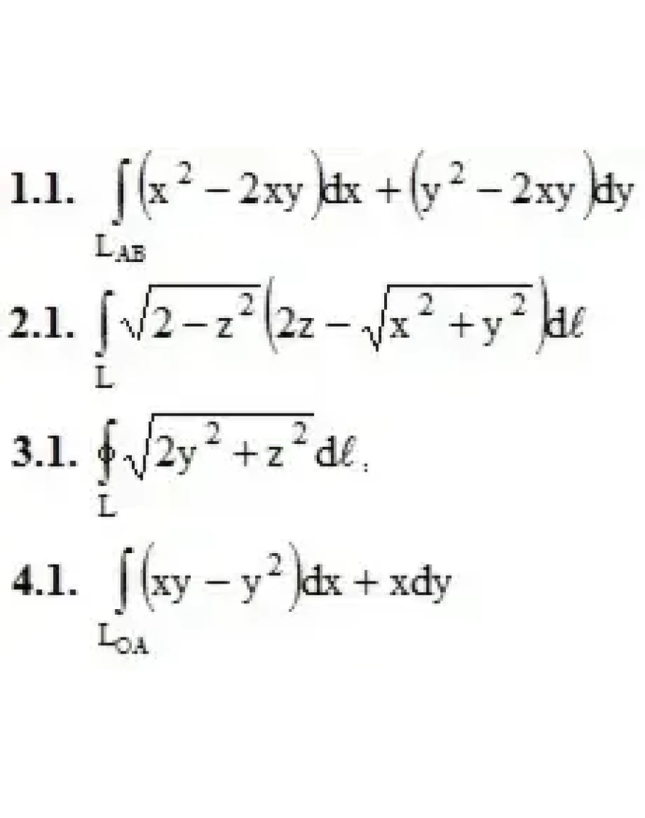
1. Вычислить данные криволинейные интегралы (1-4)
, где LAB – дуга параболы y = x2 от точки А(−1, 1) до точки B(1, 1).
, где L – дуга кривой x = tcost, y = tsint, z = t, 0 ≤ t ≤ 2π
, где L – окружность x2 + y2 + z2 = a2, x = y
, где LOA – дуга параболы y = 2x2 от точки O(0, 0) до точки A(1, 2)
, где LAB – дуга параболы y = x2 от точки А(−1, 1) до точки B(1, 1).
, где L – дуга кривой x = tcost, y = tsint, z = t, 0 ≤ t ≤ 2π
, где L – окружность x2 + y2 + z2 = a2, x = y
, где LOA – дуга параболы y = 2x2 от точки O(0, 0) до точки A(1, 2)




