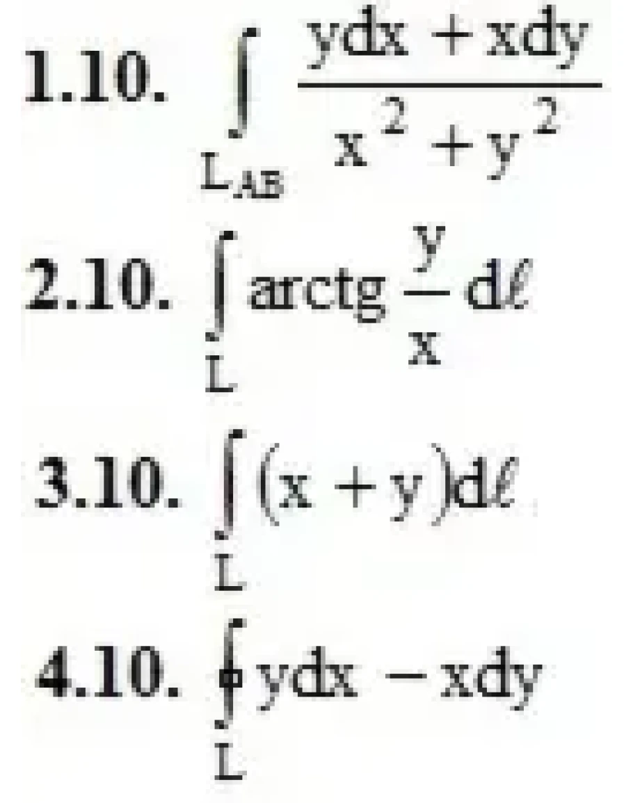
1. Вычислить данные криволинейные интегралы (1-4)
, где LAB – отрезок прямой AB; А(1, 2); B(3, 6).
, где L – дуга кардиоиды ρ = (1 + cosφ), 0 ≤ φ ≤ π/2
, где L – четверть окружности x2 + y2 + z2 = R2, y = x, лежащая в первом октанте.
, где L – дуга эллипса x = acost, y = bsint, «пробегаемая» против хода часовой стрелки.
, где LAB – отрезок прямой AB; А(1, 2); B(3, 6).
, где L – дуга кардиоиды ρ = (1 + cosφ), 0 ≤ φ ≤ π/2
, где L – четверть окружности x2 + y2 + z2 = R2, y = x, лежащая в первом октанте.
, где L – дуга эллипса x = acost, y = bsint, «пробегаемая» против хода часовой стрелки.




