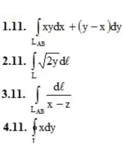
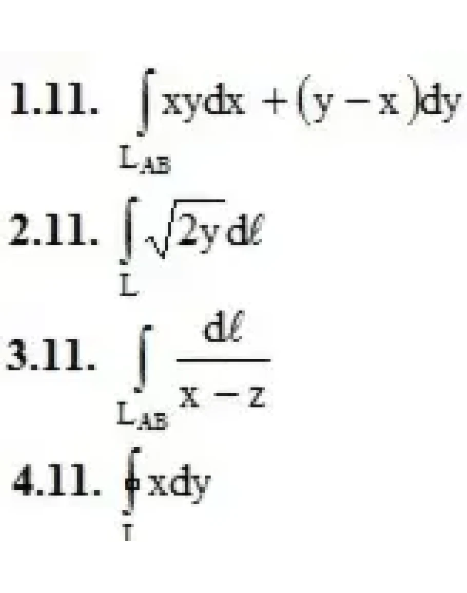
1. Вычислить данные криволинейные интегралы (1-4)
, где LAB – дуга кубической параболы y = x3 от точки A(0, 0) до точки B(1, 1).
, где L – первая арка циклоиды x = 2(t – sint), y = 2(1 – cost).
, где LAB – отрезок прямой z = x/2 – 2, y = 0, соединяющий точки A(0, 0, –2) и B(4, 0, 0).
, где L – контур треугольника, образованного прямыми y = x, x = 2, y = 0 при положительном направлении обхода контура.
, где LAB – дуга кубической параболы y = x3 от точки A(0, 0) до точки B(1, 1).
, где L – первая арка циклоиды x = 2(t – sint), y = 2(1 – cost).
, где LAB – отрезок прямой z = x/2 – 2, y = 0, соединяющий точки A(0, 0, –2) и B(4, 0, 0).
, где L – контур треугольника, образованного прямыми y = x, x = 2, y = 0 при положительном направлении обхода контура.




