1. Вычислить данные криволинейные интегралы (1-4)
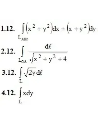
, где LABC – ломаная ABC; A(1, 2); B(3, 2); C(3, 5)
, где LOA – отрезок прямой, соединяющий точки O(0, 0) и A(1, 2)
, где L – первая арка циклоиды x = a(t – sint), y = a(1 – cost).
, где L – дуга синусоиды y = sinx от точки (π, 0) до точки (0, 0).
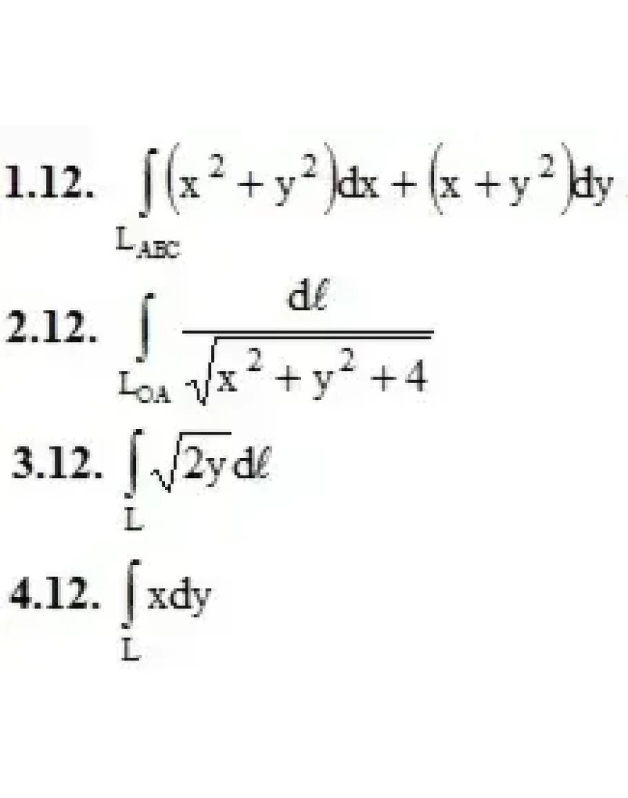
, где LABC – ломаная ABC; A(1, 2); B(3, 2); C(3, 5)
, где LOA – отрезок прямой, соединяющий точки O(0, 0) и A(1, 2)
, где L – первая арка циклоиды x = a(t – sint), y = a(1 – cost).
, где L – дуга синусоиды y = sinx от точки (π, 0) до точки (0, 0).




