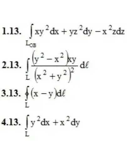
1. Вычислить данные криволинейные интегралы (1-4)
, где LOB – отрезок прямой OB; O(0, 0, 0); B(–2, 4, 5)
, где L – дуга кривой ρ = 9sin2φ, 0 ≤ φ ≤ π/4
, где L – окружность x2 + y2 = ax.
, где L – верхняя половина эллипса x = acost, y = bsint, «пробегаемая» по ходу часовой стрелки.
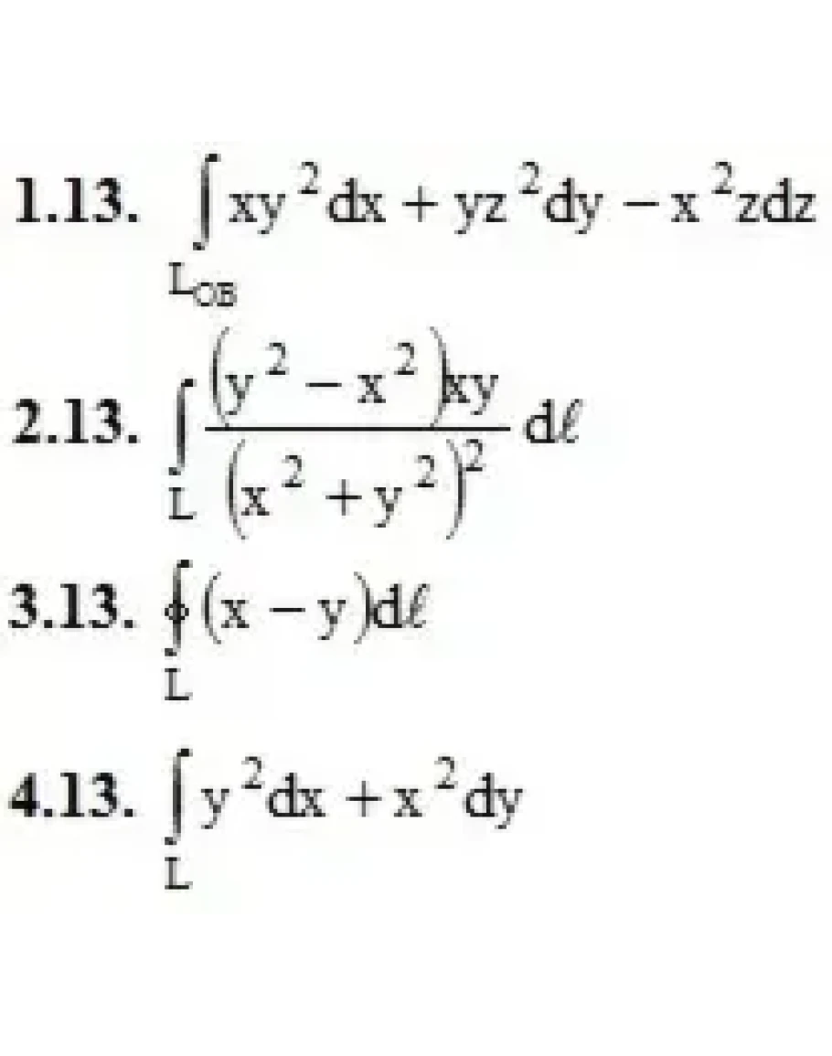
, где LOB – отрезок прямой OB; O(0, 0, 0); B(–2, 4, 5)
, где L – дуга кривой ρ = 9sin2φ, 0 ≤ φ ≤ π/4
, где L – окружность x2 + y2 = ax.
, где L – верхняя половина эллипса x = acost, y = bsint, «пробегаемая» по ходу часовой стрелки.




