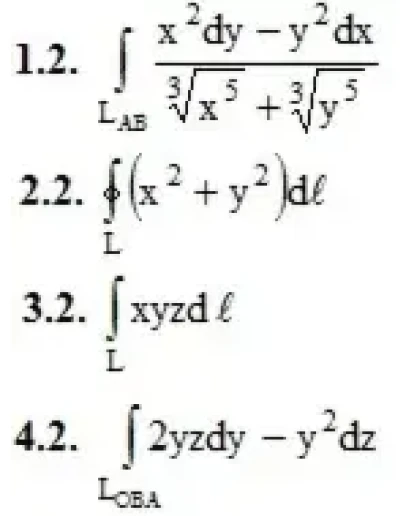
1. Вычислить данные криволинейные интегралы (1-4)
, где LAB – дуга астроиды x = 2cos3t, y = 2sin3t от точки А(2, 0) до точки B(0, 2)
, где L – окружность x2 + y2 = 4
, где L – четверть окружности x2 + y2 + z2 = R2, x2 + y2 = R2/4, лежащая в первом октанте.
, где LOBA – ломаная OBA; O(0, 0, 0); B(0, 2, 0); A(0, 2, 1).
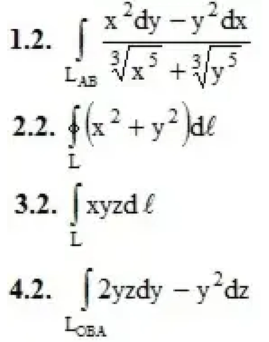
, где LAB – дуга астроиды x = 2cos3t, y = 2sin3t от точки А(2, 0) до точки B(0, 2)
, где L – окружность x2 + y2 = 4
, где L – четверть окружности x2 + y2 + z2 = R2, x2 + y2 = R2/4, лежащая в первом октанте.
, где LOBA – ломаная OBA; O(0, 0, 0); B(0, 2, 0); A(0, 2, 1).




