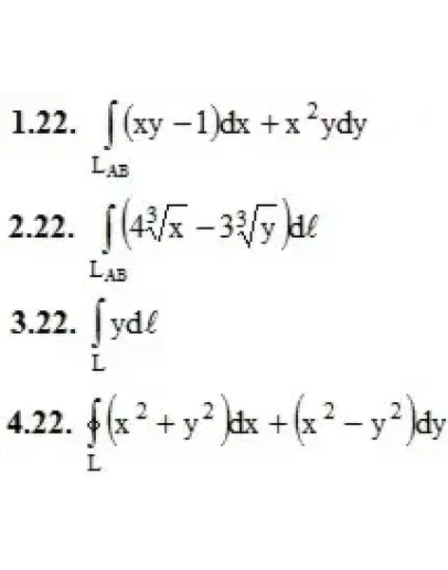
1. Вычислить данные криволинейные интегралы (1-4)
, где LAB – отрезок прямой AB; А(1, 0); B(0, 2).
, где LAB – дуга астроиды x = cos3t, y = sin3t между точками А(1, 0) и B(0, 1)
, где L – дуга параболы y2 = 6x, отсеченная параболой x2 = 6y.
, где L – контур треугольника с вершинами A(0, 0), B(1, 0), C(0, 1) при положительном направлении обхода контура.
, где LAB – отрезок прямой AB; А(1, 0); B(0, 2).
, где LAB – дуга астроиды x = cos3t, y = sin3t между точками А(1, 0) и B(0, 1)
, где L – дуга параболы y2 = 6x, отсеченная параболой x2 = 6y.
, где L – контур треугольника с вершинами A(0, 0), B(1, 0), C(0, 1) при положительном направлении обхода контура.




